Informatika | Középiskola » Középiskolai számítástechnika tételek

A doksi online olvasásához kérlek jelentkezz be!

Középiskolai számítástechnika tételek

A doksi online olvasásához kérlek jelentkezz be!


 2004 · 40 oldal  (417 KB)    magyar    5518    2004. június 07.  
       
Értékelések

Nincs még értékelés. Legyél Te az első!

Tartalmi kivonat

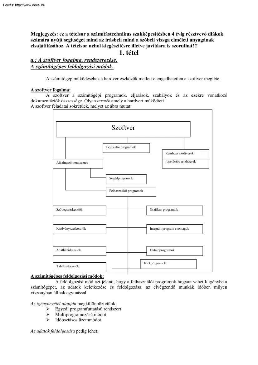
Megjegyzés: ez a tételsor a számítástechnikus szakképesítésben 4 évig résztvevő diákok számára nyújt segítséget mind az írásbeli mind a szóbeli vizsga elméleti anyagának elsajátításához. A tételsor néhol kiegészítésre illetve javításra is szorulhat!!! 1. tétel a.; A szoftver fogalma, rendszerezése A számítógépes feldolgozási módok. A számítógép működéséhez a hardver eszközök mellett elengedhetetlen a szoftver megléte. A szoftver fogalma: A szoftver a számítógépi programok, eljárások, szabályok és az ezekre vonatkozó dokumentációk összessége. Olyan termék amely a hardvert működteti A szoftver feladatai sokrétűek, melyet az ábra mutat: Szoftver Fejlesztői programok Rendszer szoftverek (operációs rendszerek Alkalmazói rendszerek Segédprogramok Felhasználói programok Szövegszerkesztők Grafikus programok Kiadványszerkesztők Integrált program csomagok Adatbáziskezelők Oktatóprogramok

Táblázatkezelők Játékprogramok A számítógépes feldolgozási módok: A feldolgozási mód azt jelenti, hogy a felhasználói programok hogyan vehetik igénybe a számítógépet, az adatok keletkezése és feldolgozása, az elvégzendő munkák időben milyen viszonyban állnak egymással. Az igénybevétel alapján megkülönböztetünk:  Egyedi programfuttatású rendszert  Multiprogramozású módot  Időosztásos üzemmódot Az adatok feldolgozása pedig lehet:  Kötegelt feldolgozású  Valós idejű feldolgozású  Interaktív feldolgozású Az egyedi programfutatású rendszerben egy időben csak egy program fut, vagyis a számítógép egy program utasítássorozatával foglalkozik, azzal nem foglalkozva, hogy ez lefoglalja-e a gép minden erőforrását vagy sem. A multiprogramozás során egyidejűleg több program van a memóriában és ezek osztoznak a gépi erőforrásokon. Amíg egyik program a CPU-t veszi igénybe, addig a másik

valamelyik perifériát Ezért látszólag egyidőben futnak programjaink. Az időbeosztásos üzemmódban egyidejűleg több felhasználó dolgozik e géppel. Mindegyik ciklikusan egy-egy időszelet alatt működteti programját, azonban a felhasználók úgy érzik, hogy egyedül dolgoznak a rendszerben. A kötegelt (batch) feldolgozás során az adatokat, elvégzendő feladatokat nem keletkezésükkor dolgozzák fel, hanem összegyűjtik, és időszakonként egyszerre hajtják végre azokat. Ennek előnye a jó gépkihasználás, hátránya, hogy az eredményeket később kapjuk meg. A valós idejű (real-time) feldolgozás esetén az adatokat keletkezésükkor azonnal feldolgozzák, így az eredmény a feldolgozás után azonnal rendelkezésre áll. Az interaktív feldolgozás az ember és gép közvetlen, párbeszédes kapcsolatán alapul. A gép folyamatosan tájékoztat a műveletekről, felkínálja azokat, kezeli válaszainkat, segítségkérési lehetőségünk van.

1.b;Csoportositsa a programozási nyelveket , jellemezze az egyes csoportokat,adjon hozzájuk példát! A programozási nyelvekről: Programozás: A feladatokat a számitógép számára érthető formában irjuk le. -utasitás amely két szintből áll: a;gépi szintű b;forráskódu: -szintaktika: forditás,tárgyprogram,szerkesztés -szemantika: program végrehajtás megszervezésével kapcsolatos szabályok -a leirás nyelve programozás nyelve pl:Basic,Pascal -forditó programok: utasitásokat, parancsokat gépi kódra forditja Programnyelvek csoportositása a; / Alacsony szintű programozási nyelvek: -Gépi kódú programok: a processzor áltál közvetlenül végrehajtható formájú és szerkezetű utasitás sorozat . -Assambly p rogramozás:a v égrehajtó eg ységnek l eirt u tasitásokat jelképes r öviditésekkel fogalmazzuk meg b ; / Azonos nyelvcsaládon belül: -standard, reprezentáns, verzió c; / Felhasználás szerint: -feladatorientált:pl:Data Bashe

-univezális: pl:Pascal,Delphi d;Végrehajtás: compiler:gépi kód tárgykódban fut pl: Turbo Pascal,C nyelv interpreter:forrás szöveget elemenként értelmezi. Hátránya lassú a programm futása Programmnyelvek generációja: a; Programozási szekvenciákat tartalmaz. Vezérlő átadás csak ugró utasitással lehet pl: kalisszikus Basic b; 2 GL: Megjelenik a program struktúra. Pl: ALGOL,FORTRAN,BASIC fejlesztések c; 3GL:Új elemként megjelenik az összetett adatstrukturák ás az objektum fogalma. Objektum:Egy a dott adatszerkezet és a hozzárendelt műveletek zárt egységet alkotnak deklarációt igényelnek,az objektumok egymásból származtathatók. Megjelennek a forditási egységek D; 4GL: Megjelenik a párhuzamosság és eseményvezérlés. Egyidőben a program több részlete is futhat melyek egymásra hatásra lehetnek. Eseményvezerlés: A program futása ,külső belső események szabályozzák. Pl:SQL,ORACLE Program megszervezése szempontjából: a;Neumann

tipusú elv:Pascal,C++,Delphi b;Logikai nyelvek:logikai program nyelvek(prolog)logikai függvényeket irunk, úgynevezett állapot halmazból eredmény halmazt hozunk létre. c;Funkcionális függvények(Logofüggvény részlet).Függvényeket deklarálunk ezeket egymásba ágyazva hivjuk. Az eredmény mindig függvény meghivása 1.c; A szövegszerkesztés alapfogalmai, a szövegszerkesztő programok kialakulása, szövegegységek. Szövegfeldolgozáson azt a f olyamatot é rtjük, a mikor a s zövegmegjelenési f ormáját é s/vagy tartalmát m ódosítjuk. A sz övegfeldolgozás eg y r észe automatizálható, m ert gé pies l ogikai utasításokkal leírható. Azonban teljesen nem automatizálható a nyelv bonyolultsága, árnyaltsága miatt A szövegszerkesztő programok azok a p rogramok, amelyek a sz övegfeldolgozást számítógép segítségével végzik. A szövegszerkesztő programok kialakulása: Az első próbálkozásokat lyukkártya technológiára alapozva

végezték. Mivel kényelmetlen volt, ezért nem terjedt el. A villanyírógépeket ellátták szalaglyukasztóval és olvasóval is, így lehetőség nyílt a szöveg javítására és szerkesztésére. A sz öveget l yukszalagra r ögzítették, javították, m ódosították, és c sak ezután nyomtatták ki végleges formában. Nagy előrelépés volt a szalagolvasó megduplázása és a kódokkal vezérelt automatikus váltás az adatolvasók között, ez lehetővé tette stíluslevelek készítését. E zeket a berendezéseket szervező automatáknak nevezzük. A fejlődő elektronika lehetővé tette a villanyírógépeknél kezdetben egy sor, később több oldal tárolását, sz erkesztését. Ezek a szerkesztőírógépek kezdetben l yukszalagos később mágneses adattárolókkal is rendelkeztek. A beírt szöveg először nem papíron, hanem egy néhány karakteres kijelzőn jelent meg, és csak a végleges változatot íratták ki papírra. A mikroprocesszoros rendszerek

fejlődése tette lehetővé az elektronikus elven működő szövegszerkesztő-gépek megalkotását. E zeknél a b eírt szöveg a memóriába tárolódik, megjelenése a képernyőn, tárolása a mágneslemezen, kiíratása egy külön nyomtatón történik. Továbbá lehetőséget biztosít a szövegek telefonvonalon történő továbbítására is. Az irodai berendezések mellett elkészítették a hordozható telepes változatokat is. Az általános célú számítógépek kiszorították ezeket a célszámítógépeket. Szövegegységek: Karakter: A karakter lehet kis vagy nagybetű, szám, írásjel és grafikai jel, m indaz am it a billentyűzetről be tudunk gépelni. Egy fontos karakter a szóköz (üres karakter) Vannak olyan karakterek amelyek a képernyőn látszanak de a nyomtatásban nem (pl.: „sor vége”, ”lapdobás” karakter). Szó: A szó két szóköz között álló karaktersorozat. Sor: A sor karakterekből áll. Hosszát a programmal egy maximális

értékre beállíthatjuk A sorokat képzeletbeli függőleges vonalak határolják, ezeket nevezzük margónak (bal és jobb margó). Mondat: A sz öveg o lyan egysége am ellyel v alamit k ijelentünk, k érdezünk k ívánunk s tb. A mondatot nagybetűvel kezdjük és ponttal, felkiáltójellel vagy kérdőjellel fejezzük be. Bekezdés: A szövegben egy gondolatcsoportnak a többi gondolatcsoporttól való elkülönítése. Az elkülönítés többféleképpen történhet; a bekezdés első sorát beljebb kezdjük mint a többit, és/vagy a bekezdést üres sorokkal választjuk el a többi szövegtől. A legtöbb szövegszerkesztőben Enter billentyűvel jelezzük a szöveg végét. Lap: A lap méretét a bal és jobb oldali margók közötti távolság és a nyomtatható sorok száma határozza meg. A lap magaságát is a margókkal adjuk meg (felső és alsó margó) Szekció: Más néven szakasz vagy fejezet. A szöveg önálló formátumú nagyobb része Dokumentum: A

teljes nyomtatásra kerülő szöveg minden tartozékával e gyütt ( pl.: gr afika, tartalomjegyzék, vázlat stb). Blokk: Olyan sz övegrész, amelyet a f elhasználó jelöl k i azz al a cél lal, h ogy minden eg yes karakterén egyidejűleg ugyanazt a szerkesztési műveletet elvégezze. Élőfej: Olyan s zövegegység, a melyet a szövegszerkesztő minden nyomtatásra kerülő lap tetején (fejléc) vagy alján (lábléc) automatikusan elhelyez, az alsó vagy a felső margón kívül (pl.: fejezet címek, lapszámozás megjelenítése). Lábjegyzet: Könyvekben, cikkekben s okszor vá lik s zükségessé egy-egy s zó, va gy f ogalom magyarázata, amit a szövegen kívül a lap alján, vagy a fejezet, ill. a mű végén adjuk meg A szövegben a ilyen szavakra, fogalmakra egy jelzéssel (pl.: *) vagy sorszámmal utalunk. 2.tétel a/ Ismertesse a perifériák osztályzását(adatbevitel és tárolás szempontjából), a számítógép és környezetének elvi felépítését! A

periféria valamely számítógép rendszernek a központi vezérlőegységétől és az operatív memóriától különbözőalapegységeit összefoglaló gyűjtőfogalom. A következő csoportokba sorolhatjuk ezeket az eszközöket: • Beviteli egységek • Kiviteli egységek • Háttértárolók A beviteli egység alkalmas adatoknak az operatív memóriába való bevitelére. A legjellegzetesebb képviselője a billentyűzet. A kiviteli egység alkalmas adatoknak az operatív memóriából való kivételére. Képviselői többek között a monitor és a nyomtató. A háttérak valójában a kiviteli és beviteli egységek közé is tartoznak, aazonban fontosságok miatt különböztetjük meg őket. A háttértárak azoknak a számítógéphez csatolt, adatoktárolására alkalmas berendezéseknek a közös elnevezése, amelyeknek a központi vezérlőegységnek nincs közvetlenhozzáférési lehetősége. A háttértárban tárolt adatokat először az operatím memóriába

kell betölteni, és csak ezután állnak a feldolgozás rendelkezésére. Legismertebb típusai a mágneses háttértárak, úgymint mágneslemez, mágnesszalag. A háttértárak legfontosabb jellemzői: • Nagy tárolási kapacitás • Alacsony tárolási költség • (az operatív memóriánál) nagyobb hozzáférési idő A következő ábránn a számítógép és perifériáiegy rendszerben láthatók: SZÁMÍTÓGÉP CPU: -ALU -Vezérlő egység -Regiszterek Címbusz Vezérlőbusz Adatbusz Perikéria elosztó: -soros -párhuzamos Operatív tár: -ROM -RAM Perifériák: -KI-és beviteli eszközök -Háttértárak -Egyéb eszközök b/ Jellemezze az assamby programozási nyelvet és vázolja fel a forráskód szerkezetét! Az assamby az alacsonyszintű programozási nyelvek közé sorolhatjus. Gépi kódú program: A processzor által közvetlenül végrehajtható formájú és szerkezetű utasítássorozat. Az assamby programozásnál a végrehajtó egységnek leírt

utasításokat jelképes rövidítésekkel fogalmazzuk meg. Fontos : - az utasításkészlet ismerete - KVE (központi vezérlő egység) regiszterek ismerete forráskód lista szövegfájll, utasítások hibaellenőrzés szintaktikai fájl fájl hibaellenőrzés szemantikai fájl hibalista fordítás Tárgykódú program fájl c/ Az operációs rendszer általános feladatai és fajtái! Az operációs rendszer a gép alapvető működését biztosító eljárások és programok, valamint ezek működési szabájainak az összege. Általános és gyakorlati feladatokat megvalósító programok rendszerbe foglalása. Az operációs rendszer feladatai: • A gépi erőforrások kezelése • A programok működtetése • A feldolgozás ütemezése • Az adaatok kezelése, átvitele • Párbeszédes kapcsolattartás a gép kezelőjével • A programok, adatok biztonságos megörzése • Működési zavarok jelzése Az operációs rendszerek fajtái: 1. Parancsvezérelt

• DOS(Disc Operating System)-lemezes müködtető rendszer. Különböző változatai változatai készültekel (pl.: az IBM cég IBM-DOS-a, de a legszélesebb körben alkalmazott az MS-DOS, melyet a Microsoft cég hozott létre), ezek többnyire egységes utasításkészlettel rendelkeznek. • UNIX és ennek egy változata a XENIX: a közép- és nagyteljesítményű számítógépek operációs rendszere. • A hálózati szoftverek(pl.:NOVELL) egy külön változata az operációs rendszerek Az operációs rendszerek itt is ugyanazokat a feladatokat kell ellátnia, mint az egyfelhasználós rendszerben, de itt az egyes számítógépek képesek elérni egymás perifériáit, adatait, programjait. 2. Ikonvezérelt • Windows(3.1 ; 95 ; 98 ; 2000):szintén a Microsoft cég terméke 3. tétel 3/a. Alaplapokhoz csatlakoztatható kártyák Számítógép és a felhasználó együttműködése szempontjából a legfontosabb elemek a csatolókártyák, hiszen ezek látják el a

kommunikációs feladatokat a számítógép( továbbiakban sz.g) és a külvilág között Fajtájuk két (ill. három) féle lehet, ezek szerint megkülönböztetünk: adat bemeneteli, és adat kimeneteli csatolókat, ill. léteznek melyek ezeket a feladatokat egyszerre látják el( pl: hangkártya). Ezek a csatolókártyák( továbbiakban kártyák) a sz.g I/O buszán keresztül kommunikálnak a gép KVE - ével (Központi Vezérlő Egység) - lsd. 18-as tétel Vannak olyan kártyák, melyek integrálva vannak az alaplapra(IDE/ATAPI, hangkártya, faxmodem, stb.), ezek gyorsabbak, de hátrányuk a javíthatatlanság. A sz.g működéséhez elengedhetetlen kártyák: Videokártya: a sz.g képi megjelenítését végzi, fő jellemzője a felbontóképessége, és a színmélység, melyet képes megjeleníteni (leggyakoribb az 1024*76832 bites) IDE/ATAPI: a sz.g háttértárolóinak(winchester, mágnesszalag), cserélhető lemezes tárolóinak(hajlékony lemez, CD lemez) vezérlése, a

rendszerbe való bekapcsolása - létezik még az ún. SCSI/SCSI2 rendszer, mely nem elterjedt A sz.g működéséhez javasolt kártyák: Hangkártya: a sz.g pont működése során bizonyos tevékenységekhez hangok rendelhetők, ezeket alakítja vissza analóg jellé, ill. a szg hang digitalizálásra alkalmas eszköze 3/b. Csoportosítsa az Assembly nyelvű programozás során használt utasításokat, adjon példát a leggyakrabban használtakból. Adatmozgató: MOV hová, honnan PUSH regiszternév POP regiszternév Aritmetikai(műveletvégző): INC regiszternév (ax+1) DEC regiszternév (ax-1) ADD bx, ax (bx :=bx +ax) SUB cx, bx (cx :=cx -bx) MUL bl (ax :=al *bl) DIV cx (al :=ax /cx egész rész, ah :=ax /cx tört rész) Logikai műveletek: CMP ax, bx (csak a Flag-ek változhatnak, elágazások szervezésénél, ax -bx) TEST ax, bx (csak a Flag-ek változnak, ax és bx log. Műveletének eredménye szerint) NOT cx (cx:=1-es komplemense) NEG dx (dx:=2-es komplemense) AND cx, dx

(cx :=cx és dx cx: 0110 dx: 1011 eredmény: 0010 OR cx, dx (cx :=cx vagy dx) XOR ax, bx (ax :=ax kizáró vagy bx) 4.Vezérlés átadása: feltétel nélkül JMP címke feltételes( a Flag bitjeitől függ, a feltételt kiváltó műveleteket közvetlen előtte kell elvégezni) Jxx xx: -nz -z -c rutin hívás CALL címke megszakítás hívása INT érték 5.Shiftelő és rotáló utasítások: shiftelések SHL al(a legmagasabb helyértékű bit lesz a carry bit, s a legalacsonyabb helyére pedig 0 kerül) SHR bh rotálás(forgatás) ROL regiszternév ROR regiszternév RCL regiszternév(carry-n keresztül forgat) RCR regiszternév(carry-n keresztül forgat) 6.Periféria műveletek(I/O): beolvasás IN regiszter(ax), periféria sorszám kiíratás OUT periféria sorszám, regiszter 3/c Ismertesse a szövegszerkesztő és kiadványszerkesztő programok szolgáltatásait. Felhasználói programok: szövegszerkesztő, kiadványszerkesztő, adatbázis kezelő, grafikus

táblázatkezelő, oktató és integrált programcsomagok. A szövegszerkesztő programok olyan célszoftverek, melyeknek feladata írásos anyagok, dokumentumok létrehozásának elősegítése. Az elkészített dokumentum bármikor kinyomtatható, mert egy háttértárolóra kerül és onnan a sz.g memóriájába bármikor visszatölthető Változtatások bármikor elvégezhetőek a szövegben. Fontos előny a teljes képernyős szerkesztés, a szövegben való tetszőleges mozgás, a szövegrészek beszúrásának, törlésének lehetősége, több irat összefűzése, speciális jelek alkalmazása. Középre, jobbra, balra igazítás, sorkiegyenlítés, vastagítás, dupla írás, aláhúzás, dőlt betűk használata valósítható meg. Szövegrészeket tetszőlegesen mozgathatunk, akár egy másik fájlba, akár máshova a szövegben. A laptördelés, a sorhossz beállítása, a lapszámozás automatikus. Fejléc és lábjegyzet alakítható ki A szöveget írhatjuk alsó és

felső indexbe. A szövegszerkesztőknek két csoportját tudjuk megkülönböztetni: 1. A csak memóriába dolgozók, ahol az irat méretét a gép memóriája határozza meg(pl.: Personal Editor)Ezek főleg levelek megírására alkalmasak, azt rögtön továbbítva. 2. A fájlba szerkesztők, melynél az irat méretét a háttértár mérete befolyásolja(pl: WordStar, Norton Editor, NS-Word, Word for Windows). Ismertebb szövegszerkesztők még a WordPerfect, ConText, ill. ezek Windows-os verziói. Manapság már nincs sok különbség jobb szövegszerkesztő(TTF-es) és kiadványszerkesztő között. Mindegyik kell, hogy ismerje a többhasábos tördelést, a TTF fontok kezelését, grafikus felületűek kell, hogy legyenek. Ezeknek a kritériumoknak eleget tesz pl. a Microsoft Word 60-s verzió is, de még nem éri el a kiadványszerkesztői szintet. A kiadványszerkesztőket igazán csak a kisnyomdák tudják kihasználni. A kiadványszerkesztőkön minden feladat elvégezhető

Azok szövegein a nyomdában már semmit sem kell változtatni, azonnal szedhető. 4.tétel a,Ismertesse a személyi számítógép legelterjedtebb fajtáit,a tápegységek jellemzőit, feladatait. Ma világszerte legtöbben az IBM PC kompatibilis számítógépeket használják, ez a személyi számítógépek egyik legelterjedtebb fajtája. Az IBM PC moduláris felépítésű. Minden egysége a feladat, az igényünk és a pénztárcánk szerint változtatható. Mivel igen sok gyártó nagy sorozatban készíti, ezért az ár/teljesítmény arány kedvező. Az IBM PC számítógép fő részei : - ház Különböző méretekben készül. - ”torony” - az asztal mellé állítható kivitelű Több winchester, CD, . befogadására is alkalmas -”minitorony” - álló kivitel, mérete kb. a baby házzal megegyező - ”baby” - fekvő kivitel, ma az általános felhasználók leggyakrabban alkalmazott mérete; - ”slimmház” lapos kivitelű, későbbi bővítésekre nem

alkalmas - tápegység A számítógép elektronikus egységeinek működtetését szolgálja. Hűtéséről ventillátor gondoskodik. - alaplap A számítógép lelke; rajta található a : - mikroprocesszor, a - memória (RAM, CMOS-RAM), a - ROM BIOS (a számítógép bekapcsolásakor ez éleszti fel a gépet), a - billentyűzet vezérlő, - slot-ok – a bővítőkártyák fogadására szolgáló csatlakozók, - koprocesszor foglalata ( A koprocesszor a lebegőpontos aritmetikai műveletek elvégzését gyorsítja meg). Monitor bővítő kártyahelyek floppy és winchester vezérlő kártya BIOS ROM hűtés! monitorvezérlő tápegység Merevlemez MikroProcesszor Billentyűzet vezérlő Memória ( RAM ) - KoProcesszor foglalat aaaaa ALAPLAP floppy és harddisk vezérlő (- kártya ) BILLENTYŰZET ( winchester ) floppy meghajtó Általában a soros és párhuzamos portok kezelését is elvégzi ( port = be/kimeneti kapu ) A soros port COM a párhuzamos LPT jelű (

emlékeztetőül : az egér soros a printer (általában) párhuzamos portot használ) - monitorvezérlő kártya - floppy meghajtó (drive) - merevlemez egység (winchester) A következő egységek a házon kívül találhatók. - monitor - billentyűzet ( ma elterjedten a 101 vagy 102 gombos billentyűzetet használják) A Processzor : Az első IBM PC-XT gépek 8088 típusú, 8 bites processzort használtak. Órajele : 4,77/8 MHz Órajel : a számítógép működési sebességét meghatározó tényező. A továbbfejlesztés eredményeként született meg az IBM AT. Az AT gépek processzor típusai : 80286 16 bites, Órajele 8/12 – 25/33 MHz 80386 DX 32 bites, Órajele 16/25 – 40/60 MHz 80486 DX 32 bites, magában foglalja a koprocesszort, felépítése a 386-os processzoroknál gyorsabb műveletvégzést tesz lehetővé. Órajele 25 – 100 MHz Mára az XT és az AT286;386;486 típusú gépek elavultak, helyettük a Intel Pentium típusú számítógépek terjedtek el

napjainkban és a továbbfejlesztett változatai : Pentium II ill. Pentium III . Más PC kategóriájú számítógépeket is alkalmaznak Ezek közül kiemelkedő ( az IBM PC riválisa ) az APPLE MACINTOSH típusú gépe. Ezek a gépek a Motorola gyár 68000 sorozatú processzorait alkalmazzák. Felépítésük, rendszerük eltér az IBM PC-től. A PC kategória felső régiójába tartoznak pl. az IBM PS/2 típusú számítógépek is 4. b,Határozza meg az algoritmus fogalmát és leírásának eszközeit! Adjon mindegyikre példát! Programozás során a legfontosabb tevékenység a program jó megtervezése. Ehhez az adott feladatra meg kell tudni előre mondani azokat az egyértelmű lépéseket, amelyek véges sorozata elvezet a feladat megoldásához. Ez a lépéssorozat az algoritmus. Az algoritmus független a számítógéptől és a programnyelvtől Programon ugyanis egy adott géptípussal megvalósítható, egy adott programnyelv utasításaiból álló,

utasításcsoportot értünk, amely az adott algoritmus szerint megoldja a feladatot. A rosszul megfogalmazott, nem hatékony algoritmus szerint működő programmal a leggyorsabb számítógép sem tudja megoldani a feladatot. Ezért arra kell törekednünk, hogy a lehető legrövidebb, legtermészetesebb algoritmus szerint oldjuk meg feladatunkat. Mielőtt nekifognánk egy feladat programjának elkészítéséhez, mindig készítsük el az algoritmusát! Minden algoritmus a következő komponensekből állhat : Szekvencia : Szelekció : egyszerű tevékenységek sorozata, elágazások közti választás : egyszeres szelekció kétszeres szelekció többszörös szelekció tevékenységek ismétlődése : elöltesztelő ciklus, hátultesztelő ciklus. Ciklus : Az algoritmus leírására a következő három módszer közül választhatunk : 1. mondatszerű leírás 2. folyamatábra 3. struktúraábra 1 . Mondatszerű leírás : 2. Folyamatábra : Pl. A kiválasztás algoritmusa :

Eljárás kiválasztás; i:=1 ciklus amíg nem t(x[i]) i:=i+1 ciklus vége Eljárás vége Pl. Egyszeres szelekció : igaz Feltétel művelet hamis 3. Struktúraábra : feltétel igen Köv.utasítás nem 4. c, Ismertesse a Word alapfogalmait, alapvető kezelőelemeit! A menüket a Windowsban megszokott módon kezelhetjük. Az egérrel a főmenüben ( Fájl; Szerkesztés; Nézet; Beszúrás; Formátum; Eszközök; Táblázat; Ablak; Súgó ), a kiválasztott menüponton kattintva kapjuk az almenüt. Az almenük kiválasztásához már elég csak a megjelölt betű lenyomása. Végül egyes menüpontok közvetlenül is elérhetők a jobb oldalra melléjük írt gomb kombinációval is. A programban található menüpontok négyféle típusúak lehetnek. Az egyszerű menüpontok kiválasztásakor a választott tevékenységet elvégzi a szövegszerkesztő. Vannak olyan tevékenységek, amelyek további beállításokat is igényelnek. Ilyenkor a menüpont után három pont ()

szerepel. Ezek kiválasztásakor további ablakot kapunk a beállítási lehetőségekkel Vannak kapcsoló jellegű menüpontok. Ezeket kiválasztva bekapcsolódnak, újból kiválasztva pedig kikapcsolódnak. A bekapcsolt állapotot egy pipa jel mutatja ( √ ) Vannak olyan pontok, amelyek közül egyszerre csak egy lehet beállítva. Ezeket a menüpont előtt álló pont jelzi ( • ) Ha tévesen választottunk menüpontot, akkor az ablak Mégsem gombjának megnyomására visszakerülünk a szövegbe, anélkül, hogy változtatnánk a beállításon. Ha elakarjuk fogadtatni beállításunkat, akkor azt az OK gomb lenyomásával tehetjük. Számos lehetőség áll rendelkezésünkre a főmenükön belül pl. betűtípusok,szövegek formázása; képek, táblázatok beillesztése; word tulajdonságok beállítása stb. 5. TÉTEL a./ A billentyűzet kialakításának tipikus lehetősége, működése Az angol és a magyar billentyűzet közötti átkapcsolás kétféleképpen

állítható be: alapvetően a Scroll Lock billentyű szolgál az átkapcsolásra. Második átkapcsolási mód a Multidef programmal úgy állíthatjuk be a Multikeyt, hogy az átkapcsolás Caps Lock billentyű segítségével történjék. Caps Lock - F2 - átkapcsolás magyar billentyűzetre Caps Lock - F1 - átkapcsolás angol billentyűzetre. A Multikey lehetőséget kínál az ideiglenes átkapcsolásra is. Mozgás a szövegben A szöveg javításhoz legtöbbet az úgynevezett kurzor mozgató billentyűket használjuk. Ehhez tudnunk ke ll m i i s a z a kurzor. A kurzor angol eredetű szó magyar jelentése támpont: azt mutatja számunkra, hogy a következő leütött billentyű írásjele hava kerül majd a képernyőn. A kurzor mozgatására az írógép billentyűzet jobb oldalán lévő, nyíllal jelzett billentyűket használjuk, melyeket lenyomva, a nyíllal jelzett irányba lép egyet a kurzor. Ha hosszabb ideig lenyomva ta rtunk egy kurzor billentyűt, a kurzor a

képernyőn folyamatos mozgást végez a nyíl irányában. Ha ennél is gyorsabban akarunk mozogni a szövegben kurzormozgató billentyűk felett lévő lapozó billentyűket is használhatjuk. Ezek a Page Up, Page Down, Home (sor elejére ugorhatunk) End (sor végére ugorhatunk). A tabulátor billentyű alkalmazása esetén a kurzor 8. karakter pozícióval kerül jobbra Gépelés: A számítógéppel a szövegek beírása, begépelése két féle technikával történhet: a beszúró és a felülíró módban. A beszúró írásmód A beszúró módot akkor választjuk, ha pl. kifelejtettük egy szót a szöveg belsejéből A szövegszerkesztő sorrendben megjegyez minden betűt, írásjelet, szóközt, amit egyszer már beírtunk. H a va lahol hi ányzik egy s zó, a kur zort a m egfelelő helyre állítjuk és egyszerűen begépeljük a szöveget. A felülíró írásmód A felülíró írásmód inkább egyes szövegrészek átírására alkalmazható. Ezt az Insert billentyű

alkalmazásával érhetjük el. Törlés A Backspace billentyűt akkor használjuk, ha kurzortól balra eső első karakter akarjuk törölni. A Delete billentyűt akkor használjuk, ha a kurzor a törlendő karakteren áll. Az ENTER billentyű használata Az ENTER billentyűt a sor és bekezdések váltására használjuk, vagyis az ENTER billentyű egyszeri lenyomásával új sort, kétszeri lenyomásával új bekezdést hozhatunk létre. Az írásjelek, különleges karakterek Az írásjelek pl. „ ! ? / ( ) : Az írásjelek után mindig szóközt kell tenni A különleges írásjeleket Beszúrás/Szimbólum . menüpont alkalmazásával érjük el b./ Az adat fogalma és jellemzői Az ad at valakinek v agy valamink a m egismeréséhez s zükséges t ény. A z ad atokat r ögzíteni, átalakítani, tárolni és továbbítani tudjuk. Az adat olyan információ, amelyet feldolgoz a gép a programban leírtaknak megfelelően. A számítógépen való adattárolást belső

adatábrázolásnak nevezzük. A csak két különböző állapotot ismerő elemet Bináris elemnek nevezzük Ezt a két állapotot 0-val és 1-el jelezzük. Az a datbank nagyobb összefüggő szakterület egységes módon tárolt adatainak összege. (Kulcs alapján gyorsan elérhető.) Az adatbázis összetett logikai szerkezetű adathalmaz, adatbank adattárolásának módja. Az adatfeldolgozás. Adatok számlálása, csoportosítása, kiértékelése Az adathalmaz rendezetlen adatok összege. (Nehezen áttekinthető) Információ az adatokon végrehajtott gondolati műveletek értelmezett eredménye. c./ A szövegformázás lehetőségei a Wordben (karakter-, bekezdés- és fejezet formázása)! A szalag: A Word ablakának a tetején, a menüsor alatt látható. A szalag első három mezője előugró lista, amelyeken egyes szövegelemek, mint pl.: címsorok különböző jellemzői, illetve a betűk típusát és méretét állíthatjuk be. A szalag további részén ikonok

találhatók Fontosabb ikonok: Új irat létrehozása: Fájl menü Új parancsára a W ord megjeleníti az Új párbeszédablakot. Az irat mentése a Fájl menü Mentés vagy Mentés másként menüpontjaival lehetséges. Formázási irategységek: Három fő irategység: karakter bekezdés fejezet Karakternek nevezzük a billentyűzetről beírt összes betűt, számot és írásjelet. Ezeken túl a Word i s be ír a z i ratunkba bi zonyos „ saját ha sználatra s zolgáló k araktereket”, amelyek többnyire nem jelennek meg a képernyőn. (Ilyen karaktert szúr be pl: az ENTER lenyomásakor a bekezdés végére.) A b ekezdésék az ENTER billentyű két lenyomása közötti szövegrészek: az ENTER minden egyes lenyomásakor létrejön egy bekezdés, és egyúttal egy új is kezdődik. A bekezdéseket a bekezdés vége karakter választja el egymástól, amely alapbeállítás szerint nem jelenik meg a képernyőn. A f ejezet úgy kell elképzelnünk, mint egy az oldalak külső

elrendezésében egységes ir atot: mindegyik oldalon azonos méretűek a margók, azonos helyen vannak az oldalszámok, a lábjegyzetek, az oldalak azonos számú hasábot tartalmaznak stb. Mivel az irataink többsége hacsak ne m e gy hosszabb t anulmányt va gy könyvet í runk, amelyben a s zövegnek és pl tárgymutatónak eltérő lehet az elrendezése- ilyen tekintetben azonos a f elépítése, a fejezet a teljes iratot is jelenti. Karakter formázás: A karakter méretét, alakját, jellegét, és a sorban lévő többi betűhöz viszonyított helyét lehet formázással meghatározni. Az iratok betűtípusát és betűk méretét a szövegnek megfelelően választhatjuk ki a Formátum/Betű . menüpontok alkalmazásával Ha egy iratban a figyelem felkeltésére ki akarunk emelni egy szövegrészt, akkor ezt általában megvastagítjuk ( F f eliratú i kon), dőlt betűkkel (D feliratú ikon) írjuk va gy aláhúzzuk ( A feliratú i kon). A műveletet a kiemelendő

szövegrész kijelölésével kell kezdenünk Ezután a megfelelő ikonokat használjuk, vagy a Formátum/Betű . menüpontot alkalmazzuk Előfordulhat, hogy vissza szeretnénk állítani a szövegrészt az eredeti formátumra. Ha pl valamennyi szó megvastagítását meg akarjuk szüntetni, akkor jelöljük ki a szót és adjuk ki a megvastagítást f ormázó p arancsot. A k arakterek m ost i smét a n ormál alakjukban j elennek meg. Bekezdések formázása: Formátum/Bekezdés . menüpont segítségével történik Beállíthatjuk az igazítást (balra zárt, jobbra zárt, középre zárt, sorzárt), behúzást (bal, jobb, mérték, elsős sor, függőbehúzás) és térközt (előtte, utána, érték, sorköz). Fejezetek formázása: Ha új fejezetet szeretnénk létrehozni, akkor vigyük a kurzort iratunk azon helyére, ahonnan az új fejezetnek kezdődnie kell, és a Beszúrás menüből adjuk ki a Töréspont . parancsot Az új fejezet kezdetét négy féle módon

határozhatjuk meg: Új oldalra-az új fejezet a következő oldalon kezdődik. Folyamatosan-az új fejezet folyamatosan követi az előzőt, oldalváltás nélkül. Páros oldalra-az új fejezet a következő páros oldalon kezdődik. Páratlan oldalra-az új fejezet a következő páratlan oldalon kezdődik. 6. Tétel a., Az egér (mouse) olyan periféria, amely a négy nyílbillentyű és néhány egyéb billentyű helyettesítésére alkalmas. Az egér a monitoron történő "mutogatás" eszköze A korszerű menüs, grafikus programok kényelmes kezeléséhez szinte nélkülözhetetlen az egér használata. Az egér általá ban v alamelyik soros port on (CO M) ker esztül kapcsoló dik a számitógéphez; működéséhez külön program szükséges. Felépítése: Egy golyó X és Y irányú elmozdulását görgők érzékelik. A görgők a program segítségével a k épernyőn egy jelet, az ún. egérkurzort mozgatnak, e z á ltalában n yíl, va gy n égyszög a

lakú. Választásunkat az egéren lévő gombok (általában 2 vagy 3 db) megnyomásával tu datjuk a s zámítógéppel, e zt k attintásnak nevezzük. Asztali egér esetén célszerű azt ún egérpadon ( jó súrlódású, portaszító anyagon) tologatni. Egerünket bizonyos időközönként, úgy kéthetente érdemes kitisztítani a kifogástalan működés érdekében. b., Adattipusok: - Egyszerű adattipusok: - Egész tipus (Integer): Csak egész számokat tartalmazhat, 1,2,4 vagy 8 byte méretben. - Karakter tipus (Char): A karakter tipus egy karakter tárolására alkalmas, helyfoglalása egy byte, értékkészlete: az ASCII-tábla. Az ASCII-tábla kódkiosztása 0-255-ig terjed - Logikai tipus(Boolean): A logikai tipusnak csak két értéke lehet: Igaz (True, „1”) és Hamis (False, „0”). A logikai műveleteknél (Not, And, Or, Xor) használatos, általában halmazábrával ábrázoljuk. - Valós tipus (Real): Az Egész tipushoz hasonlóan csak számok alkotják,

de itt a tizedesjegyeket is értelmezzük. A tizedesek számától függően helyfoglalása 4,6,8 vagy 10 byte - Összetett adattipusok: - Szöveges adattipus (String): Ez nem más, mint egy karaktersorozat, alkotóelemei karakterek, melyekből „értelmes” szöveg áll elő. Maximális hossza 255 karakter - Tömb adattipus (Array): A tömb talán a leggyakrabban használt összetett tipus. Előre rögzitett számú, azonos tipusú indexelt elemekből áll. Az egyes elemekre a tömbváltozó nevével, és az elem indexével hivatkozhatunk, az utóbbit szögletes zárójelbe kell tenni. - Rekord tipus (Record): A rekord az egyik legrugalmasabb szerkezet, mivel benne tetszőleges számú, különböző tipusú rész szerepelhet. A rekord elemeire úgy hivatkozhatunk, hogy a rekord-változó neve után ponttal elválasztva irjuk az elem azonositóját. c., Iratrészek áthelyezése, többszörözése MS Word-ben igen egyszerű, több módon is lehetséges. - Egérrel: - A mozgatni

kivánt szövegrészt kijelöljük, majd egyszerüen egérrel megfogva a kivánt helyre tehetjük. - A szöveg kijelölése után a jobb egérgomb lenyomására előugrik egy helyi menü, ahol kiválaszthatjuk a kivánt műveletet: Másolás, Kivágás, Törlés, illetve a már vágólaponlevő szöveget Beilleszthetjük dokumentumunkba. - Billentyűzetről: - A <Shift> bill. nyomvatartása mellett a nyilbillentyűkkel kijelöljük a szöveget - Ezután alkalmazzuk a kivánt művelethez tartozó billentyűkombinációt: - Másolás: <Ctrl> + <Insert> vagy <Ctrl> + <C> - Kivágás: <Shift> + <Delete> vagy <Ctrl> + <X> - Törlés: <Delete> - Beillesztés: <Shift> + <Insert> vagy <Ctrl> + <V> Ezen műveletek szinte minden Windowsos alkalmazásban elvégezhetőek, a billentyűkombinációk használhatóak. Például igy lehet egyszerűen egy Excell-diagrammot Word-szövegbe helyezni. 7. TÉTEL a./

Ismertesse a scanner, és a joystick jellemzőit, működési elvét! Magyarul talán a képolvasó a találó kifejezés. Használatához külön működtető program is szükséges. Kézi és lapolvasó kivitele is elterjedt. A kézi általában 105 mm széles, míg a lapolvasó leggyakrabban A4 szélességű ábra digitalizálására alkalmas. Az ennél szélesebb ábrát több részletben lehet feldolgozni. A kéziscanner egy gumigörgőn mozgatható, és az ábrát egy vékony csíkban világítja meg. E fénycsíkot a kép felett áthúzva a visszaverődő fény egy tükör segítségével, optikán keresztül a vevőbe kerül, ahonnan analóg-digitál átalakítón keresztül jut a számítógépbe. A vevő ma leggyakrabban CCD cella. (CCD=töltéscsatolt fényérzékelő eszköz) Működést jelző Működtető k l optik fénysugár Fényátalakító Kódoló elektronika tükör kábe l Megvilágító dióda Támasztó görgő gumigörg ő A lapolvasó kivitelben az

ábra egy üveglaphoz van szorítva, és a fénycsík mozgatása gépi úton történik. A scanner, (digitalizáló tábla, egér, nyomtatók) jellemzője a felbontás, (DPI =Dot Per Inch ) mely érték a 25,4 mm-re eső képpontok számát jelenti. Pl a 400 dpi kb 16 pont/mm felbontást jelent. A kézi kivitel 360-400 , lapolvasó 400-700 dpi felbontásra képes. A lapolvasók ma már gyakran színes kép digitalizálására is alkalmasak JOYSTICK: Főként játékprogramoknál alkalmazzák. Az X-Y irányú helyzetet egy rúd mozgatásával adjuk a számítógép tudomására. A rúd mozgatásával kapcsolókat (É,K,D,Ny) zárunk és e jeleket dolgozza fel a gép. A PC gépeknél egy gömbcsuklón elhelyezett két potenciométer állása jellemzi a beállított helyzetet. A botkormány jeleinek feldolgozását a számítógép elektronikája végzi el. b./ Mit ért a kész program tesztelése alatt és milyen tesztelési módszereket ismer? A tesztelés célja : Megállapítani,

hogy a feladatban meghatározott bemeneti adatok, feltételek esetén a program véges időn belül megáll-e és az eredmény helyes-e. Ha a program bármely bemeneti adat esetén helyesen működik, használójának irányítása alatt marad (nem "fagy" le), akkor a programra a teljes helyesség teljesül. A módszer lényege: Ez a folyamat a program igazolása, vagyis meg kell találnunk az összes lehetséges hibát. A gyakorlatban összekapcsolódik a hibák kijavításával és a hatékonyság növelésével is Alapelvek: - Jól tesztelni egy programot igazából csak más tud, hiszen a program készítője akaratlanul is kerüli a lehetséges hibahelyeket. Új hibát új tesztesettel keressünk meg. A tesztesetek megismételhetőek legyenek. Érvénytelen bemeneti adatokkal is teszteljünk. A hibák feltárásához a gyakorlatban a következő módszerek vannak: 1./ Statikus A programot nem futtajuk, az algoritmust és forráskódot átolvassuk. a./ kódellenőrzés

Megvizsgáljuk, hogy az algoritmus és forráskód tartalmilag azonos-e. b./ szintaktikus ellenőrzés A leírt forráskód utasításai a programozási nyelv formai előírásait teljesítik-e. c./ szemantikus ellenőrzés (ellentmondás keresése) kezdőérték nélküli változók önmagának adott értékadás X:=X; mindig igaz, vagy hamis eredményt adó logikai kifelyezés pl.: (a) and (not (a)) végtelen ciklus konstans kifelyezés X:=Y/Y; 2./ Dinamikus A programot futtatjuk és a futás eredményéből vonunk le következtetéseket. a./ Fekete doboz módszer - a tesztadatok létrehozásakor a program kódját, algoritmusát figyelmen kívül hagyjuk. A lehetséges teszteket osztályokba (ekvivalencia osztályok) soroljuk, mindegyikből legaláb egyet lefuttatunk. (pl: elől van a legnagyobb, hátul van a legnagyobb, középen van a legnagyobb, közbülső helyen van) Szélsőértékek esetei. (pl: minden adat egyenlő, minden adat zérus, stb) b./ Fehér doboz módszer - a

program struktúrája alapján állapítjuk meg a teszteseteket. Utasítás lefedés: Minden utasítás legalább egyszer hajtódjon végre. Döntés lefedés: Minden elágazás mindegyik ágát hajtsa végre legalább egyszer a program. Részfeltétel lefedés: A logikai kifelyezések mindegyik részfeltétele változzon a program futása során. 3./ a./ b./ Speciális Mennyiségi teszt - sok adat, vagy túl kevés adat használata Stresz teszt - kritikus adatok használata, 0-al való osztás előfordulhat, számábrázolási túlcsordulások, kerekítési hibák kezelése. c./ Funkció teszt - a program eredménye, vagy futásának módja valóban jó? d./ Bizton sági teszt - nem érvényes adatok a programot kiakasztják-e? c./ Hatékonysági teszt - futási dőben, helyfoglalásban. c Karakter A karakter lehet kis- és nagybetű, szám, írásjel és grafikai jel, mindaz, amit a billentyűzetről be tudunk gépelni. Karakter a szóköz, amit általában nem tekintünk

sem betűnek, sem írásjelnek, mert a kézírásban nem írjuk le. Tekintsük a szóközt üres karakternek Léteznek olyan karakterek is, amelyek a képernyőn látszanak ugyan, de a nyomtatásban láthatatlanok maradnak. Ezek legtöbbike a nyomtatót vezérlő parancsokat jelképez Még egy speciális karakter a tabulátor. Szó A szó két szóköz között álló karakterekből áll. A szövegszerkesztő program akkor is szónak tekinti, ha azok a karakterek nem jelentenek számunkra értelmes szót. Sor A sor karakterekből áll. Hosszát a programmal egy maximális értékre beállíthatjuk Ha túllépjük a beállított értéket, a program automatikusan új sort kezd. A sor hossza nem azonos a lap szélességével. Képzeletbeli függőleges vonal határolja, ezt margónak nevezzük Mondat A szöveg olyan egysége, amellyel valamit kijelentünk, kérdezünk vagy kívánunk. A mondatot nagybetűvel kezdjük és ponttal, felkiáltójellel, kérdőjellel fejezzük be. Bekezdés A

szövegben egy gondolatcsoportnak a többi gondolatcsoporttól való elkülönítése. Ez többféleképpen történhet; a bekezdés első sorát beljebb kezdjük, és/vagy a bekezdést üres sorokkal választjuk el a többi szövegtől. Enter billentyűvel jelezzük egy bekezdés végét Lap A lap méreteit a bal- és jobboldali margó közötti távolság és a nyomtatható sorok száma határozza meg. Sok szövegszerkesztőben a lap magasságát is margókkal adhatjuk meg Szekció Más néven szakasz vagy fejezet. A szöveg önálló formátumú nagyobb része Dokumentum A teljes nyomtatásra kerülő szöveget értjük alatta, minden tartozékával együtt. Sokszor a dokumentum kifejezés helyett egyszerűen csak a szöveg vagy szöveges állomány kifejezést használjuk. Blokk Olyan szövegrész vagy szövegterület, amelyet a felhasználó jelöl ki azzal a céllal, hogy minden egyes karakterén egyidejűleg ugyanazt a szerkesztési műveletet elvégezhesse. Egy

dokumentumban egyszerre csak egy blokkot jelölhetünk ki műveletvégzésre, ezért a blokk nem állandó szövegegység. A blokk terjedelme tetszőleges lehet; a legkisebb egy karakternyi, a legnagyobb az egész dokumentum. Élőfej Az élőfej olyan szövegegység, amelyet a szövegszerkesztő minden nyomtatásra kerülő lap tetején vagy alján automatikusan elhelyez, az alsó vagy felső margón kívül. Sok mindenre alkalmazható; pl. fejezetcímek vagy lapszámozás megjelenítésére Lábjegyzet Cikkekben sokszor válik szükségessé egy-egy szó, vagy fogalom magyarázata, amit a szövegen kívül, a lap alján, vagy a fejezet, illetve a mű végén adunk meg. Csak egy jelzéssel, vagy sorszámmal utalunk arra, hogy az adott kifejezésről bővebb magyarázatot kaphat az olvasó. 8. TÉTEL 8.a, Ismertesse a monitorok fajtáit, paramétereit jellemzőit Milyen célt szolgálnak a monitorszűrők? A monitoron jelennek meg a program üzenetei és rajta ellenőrizhető a

bevitt adatok helyessége. A képmegjelenítés szerint lehetnek: -katódsugárcsöves: felépítése a T V-nél m egismertekével az onos. A T V képminőségénél jobb képet kell szolgáltatnia. -folyadékkristályos ( LCD): kivitele, hasonló a kvarcórák kijelzőihez. Hordozható gépekben kerül alkalmazásra. Speciális kivitelét írásvetítőre helyezve a m onitor ké pe kivetíthető. -gázplazmás: működési elve a glimmlámpáéhoz hasonló. Jól olvasható, csak monó (egyszínű) kivitele terjedt el. A megjelenített kép típusa szerint lehet: • Alfanumerikus (csak karakterek megjelenítésére képes). • Grafikus (karakterek és rajzok megjelenítésére is képes). A színkezelés szerint megkülönböztetünk: • Monokróm („fekete-fehér”, ill. zöld, papírfehér) • Színes A felbontóképesség szerint megkülönböztetünk: A felbontóképesség azt jelenti, hogy hány pontot képes a képernyőre kirajzolni (egy sorba, ill. egymás alá)  

    Herkules 762*348 CGA 320*200 16 színből csak négyet tud egyszerre kezelni. EGA 640*350 VGA 800*600 SVGA 1024*768 felbontással 256 színt tud megjeleníteni. Ez a legelterjedtebb Különleges 1200*1024 képpont felbontás mellett, 4096 színt tud kezelni. A kép méretéhez a képátlót adják meg, hüvelykben (inch-ben). Általános a 14-15 inch (1 inch=25,4 mm) képátló. A legjobb monitorok ún. LR (Low Radiation), azaz alacsony sugárzású monitorok A készülékből kikerülő elektron és egyéb sugárzás eltéritésével megóvják a kezelőt azok kóros hatásoktól. Ennek hiányában a földdel összekapcsolt monitorszűrök védenek a képernyő sugárzásától. A monitorok PC gépeknél csak megfelelő vezérlőkártyával képesek a kép megjelenítésére. B, Hatékonyság: Hatékonyság fogalma alatt azt értjük, hogy a program a feladatát valamilyen, vagy több szempontból gazdaságosabban végzi úgy, hogy közben a helyessége megmarad.

Így a program értékét lényegesen növelhetjük. A vizsgálat szempontjai: 1./ Végrehajtási idő szerint 2./ Helyfoglalás szerint 3./ Bonyolultság szerint A gyakorlat azt bizonyítja, hogy a három szempont egymás ellen hat. Feladatunk minden esetben az, hogy megtaláljuk a feladathoz igazodó optimákis egyensúlyt. A vizsgálat irányai: I. Globális hatékonyság - az algoritmust vizsgáljuk és elemezzük a működést (agyalunk) 1./ Végrehajtási idő szerint A probléma fő forrása a ciklus, ott lehet érdemleges eredményt elérni. végrehajtási idő (tv) = egy ciklus ideje (t) * a ciklusok száma (n) Lépésszám csökkentése (n) - igyekszünk csökkenteni a ciklus végrehajtásánák számát , esetleg több részfeladatot is megoldhatunk egy lépésben. A probléma mély elemzése szükséges Ciklus mag végrehajtási idejének csökkentése (t) - lehetőleg csak azt csináljunk a ciklusban, amit feltétlenül ott kell. Ne végezzünk oktalanul logikai

vizsgálatokat, ne szervezzünk cikluson belüli elágazásokat, adatmozgatásokat ne itt végezzünk, ha nem feltétlenül szükséges. 2./ Helyfoglalás szerint A program szöveg helyigénye - általában nem sokat nyerünk. - eljárások használata - adatok előfeldolgozása, szűrése - nem kell a feleslegeset tárolni. - a kódból adatot csinálunk - a program üzeneteit szövegfájlban tároljuk. Adatok helyigénye - komoly nyereség lehet a tudatos átgondolás. - csökkentsük az adat elemeinek számát - speciális sorozatok tárolásánál használjuk ki az adatismétlődéseket, üres tárolási helyeket, használjunk mutató típusokat, és dinamikus változókat. - elemméret csökkentése - ne tároljunk kiszámítható adatsorozatokat, adatstruktúrák átfedő információit szűrjük ki (személyi szám és születés dátuma), a hosszú, gyakran ismétlődő szöveges adatokat kódoljuk. II. Lokális hatékonyság - csak a leírt kódot vizsgáljuk, a működés

megértése nem szükséges (formális szabályokat használunk) 1./ Végrehajtási idő szerint gyors műveletek használata 2*a a+a gyors típusok használata - valós számok helyett az egészek körében az alapműveletek lényegesen gyorsabbak képletek egyszerűsítése - a kiértékelése gyorsul, különösen ha ciklusban van függvények kiküszöbölése a > sqrt(n) a*a > n feltételvizsgálat gyakran szükséges részkifejezések kiszámítása, tárolása változóban konstans kifejezések kiszámítása x:=1/2 * y x:=0.5*x 2./ Helyfoglalás szerint kis helyigényű típusok részeredmények kerülése ne tároljunk kiszámíthítót 3./ Bonyolultság szerint a program átláthatóságát, megérthetőségét befolyásolja, nem mindíg kell vele foglalkozni. a program szerkezetének bonyolultságát csökkentsük - egymásbaágyazott elágazások, ciklusok kerülése. a kifelyezés bonyolultságának csökkentése - egy értékadáskor vagy logikai

vizsgálatkor a matematikai művelet leírása ne tartalmazzon több mélységben zárójelet, a számítási részeket külön értékadásban írjuk le. - 8.c; Milyen windows alkalmazás szolgál egyszerűbb táblázatos adatok feldolgozására, ennek mik a főbb jellemzői? Egyszerű táblázatokat készíthetünk szövegszerkesztővel, számítások, függvények ábrázolását az ad attáblázatban v égezhetjük el . A v égbement fejlődésnek kétségkívül a csúcspontját jelenti a Microsoft cég Windows alá tervezett MS Excel rendszere. Nagy tömegű adatok táblázatos formában történő feldolgozására tervezték. A gazdasági, műszaki és tudományos életben rengeteg ol yan probléma adódik, melyek megoldásához a r endelkezésre álló adatokat táblázatos formában célszerű felírni, ezekkel az adatokkal különböző számításokat ke ll vé gezni, a z a datokat g rafikusan ke ll á brázolni. A z E xcel r ajzeszközeinek segítségével pillanatok

alatt tetszetős és áttekinthető diagrammokat készíthetünk. A táblázatkezelő programok előnye, hogy használatukhoz csak minimális számítástechnikai ismeret szükséges. Egyszerűbbé válik a módosítások átvezetése a táblázatokban, pillanatok alatt végigszámolhat különböző variációkat, arhíválhatja a munkákat és bármikor szép nyomtatott formákat állíthat elő. Alapvető szokásos funkciók: • File s zolg.: itt ú j d okumentumokat le het lé trehozni, me nteni, n yomtatni N yomtatásnál tetszetős munkalap. • Szerkesztési s zolg.: i tt l ehet ki vágni, vi sszavonni, b eilleszteni, is mételni p l: d iagramm, keresni, törölni, másolni • Képlet szolg.: név megadása, függvény beillesztése A függvény sokrétű lehet: statisztikus, matematikus és pénzügyi. Formátum beállítások: Betűtípus, szegély, sormagasság, oszlopszélesség, s zövegelosztás, s zámforma beállítását végezhetjük itt el. Diagram Varázsló

segítségével lehet elkészíteni. A varázslók segítségével könnyebb az adatbevitel. Manapság kibővült: kép, szöveg beszúrásra (objektum) 9. TÉTEL a, Ismertesse a nyomtatók fajtáit és működési elveit, üzemmódjait! DEF.: A nyomtatók a számítógep által szolgáltatott adatok papíron történő rögzítésre szolgálnak.Kivitelük a monitorhoz hasonlóan lehet alfanumerikus vagy grafikus Működési elv szerint lehetnek: 1. Ütvenyomtató 2. nem ütve(festéksugaras, lézer vagytermikus hő) nyomtatók Nyomtatott kép szerint lehetnek: 1. Alfanumerikus nyomtatók 2. Grafikus nyomtatók Az alfanumerikus nyomtatók csak karakterek (betűk, számok karakterek) nyomtatására alkalmasAz alfanumerikus nyomtatók lehetnek:a, 1. Karakternyomtatók: (egyszere egy egész karaktert nyomtanak) 2. Margarétakerekes (betűkerekes) nyomtató Jell.:szép íráskép, csendes, egyszerre több példány nyomtatására alkalmas, lassú Működési elv:A nyomtatón

elhelyezkedő ún. margarétafejen különböző karakterek helyeszkednek el amely körbeforog és a megfelelő karakter előtt megáll, majd egy kiselektromágnessel ráüt a karakterre, amely egy indigószalagon keresztül nekicsapódik apapírnak Jell.:szép íráskép, csendes, egyszerre több példány nyomtatására alkalmas, lassú Működési elv:A nyomtatón elhelyezkedő ún. margarétafejen különböző karakterek helyeszkednek el amely körbeforog és a megfelelő karakter előtt megáll, majd egy kiselektromágnessel ráüt a karakterre, amely egy indigószalagon keresztül nekicsapódik apapírnak Grafikus nyomtatók: a, Mátrix (tűs) nyomtatók: A kiviteltől függően megkülönböztetünk 9 ill. 24 tűs nyomtatókat A 9 tűs olcsóbb, de rosszabb az írásképe. Az alányútó betűket(f,y,g,j) csak torzítva tudja nyomtatni A legjobb íráskéket az NLQ üzemmódban képes leadni. (NLQ=majdnem levél minőség) A 24 tűssek képesek LQ minőségre is (levél

minőség) A papírmozgatás történhet: -dörzshajtással (egyedi lapok esetén ) -traktorral(perforált szélű leporelló esetén) Többpéldányos nyomtatásra is képesek. Működési elv:A nyomtatást az egymás alá elhelyezett tűk végzik. Atűket kis elektromágnesek mozgatják, amelyet a printer elektronikája (mikroprocija) működtetA tűk a nyomtatófejben vannak elhelyezve. A fej mozgatását és a papír előtolását léptetőmotorok végzik.( A léptetőmotor olyan villamos motor amely feszültségimpulzus hatására mindíg meghatározott nagyságú szögelfordulást végez) b, Festéksugaras nyomtatók: A nyomtatás festéksugárral történik. Két kivitel terjedt el, a tintasugaras(INK JET), és a buborék(BUBBLE JET) nyomtató.Fekete-fehér,3 ill 4 színű szines nyomtatóMűködési elvük:-Az INK JET nyomtatóban piezócsövecskék “pumpálják” a kilövelendő festékcseppeket. Használaton kívül egy kis lemezke befedi a fúvókákat, hogy a tinta be ne

száradjon. –A BUBBLE JET nyomtatóban a fúvókákban fűtőszál van elhelyezve Hő hatására a tintába gőz keletkezik, amely a festékcsppet kilövi. A piezo- ill A fűtőszálat a nyomtató mikroprocija végzi. Az INK JET-nél csak a patront,míg a BUBBLE JET-nél az egész fejet kell kicserélni. Irásképük szebb, csendes, gyorsaságuk kielégítő, egyszerre egy példány készíthető, a nyomtatási kép függ a papír minőségétől. (szívópapír) c, Lézer nyomtatók: A jelenlegi legjobb minőségű nyomtatók egyike.Működési elv: Szinte azonos a fénymásolóéval. Egy lassan forgó szelénhenger felületét a hengerrel párhuzamos nagyfeszültségű vezeték töltésekkel látja el. A továbbforduló hengerről eltűnnek a töltések, ahol lézerrel megvilágítottuk. A lézerforrás fényét egysokszögű tükörrelvetítjük a szelénhengerre. A tükörés a fényforrás vezérlését a nyomtató mikroprocija végzi A por alakú festék csak ott marad meg

ahol a töltések eltérőek (ahol megvilágítottuk lézerrel). A papír töltése ellentétes a festékporéval, ezért amikor a papír ahengerhez simul, a festékszemcsék a papírra tapadnak. A festékpor a fixálás során a kb 180oC-ra felfűtött hengerek között a papírra olvad.Napjainkban már léteznek színes lézernyomtatók is d, Plotterek: CAD (tervező) programok segítségével tervraízok készülnek. A plotter felfogható egy PC-vel vezérelt, motorokkal X-Y irányban mozgatott tollnak.A SIKplotternél a papír le van rögzítve a rajztáblához, és a toll mozog X-Y irányban. A toll le-fel mozgatásával elérhető, hogy atoll csak ott forgjon ahol szükséges.A DOBplotternél a rajzlapot egy henger mozgat(X) A hengerrel párhuzamosan (Y) iránybaa mozgó toll ott ér a papírhoz ahol a program megkívánja. A henger és a tollmozgását a plotter procija végziRajzoló eszköz lehet: Tustoll; Fény (Fotópapír esetén); Tintasugár; Mátrix. B, Ismeresse egy

program elkészítésének főbb lépéseit! 1. A kapott feladat értelmezése, megértése 2. A feladat specifikálása: -bemenetek -kimenetek-előfeltétel(a bemeneti fetlételhez)utófeltétel 3. Algoritmus készítése 4. A programkód elkészítése 5. A program tesztelése, hibakeresés 6. Hatékonyság, átláthatóság 7. Mindent dokumentálni kell papíron A pascal programok elkészítésének főbb lépései 1. Programfej: a program azonosítója, neve 2. Deklarációs rész: változok felsorolása, deklarálása 3. Programtörzs: utasítások a) A szöveg értelmezése b) Specifikáció • Be • Ki • Előfeltételek (bemenő adatok tulajdonsága) • Utófeltételek (kimenő adatok, hogyan keletkeznek a bemenő adatokból) c) Lényegi algoritmus d) Kódolás e) Tesztelés c, Az Excelben milyen típusú adatokat tárolunk, a tárolt táblázat milyen elemekből, egységekből állhat? Kezdetben a kalkulációs programok munkalapjai kétdimenziósak voltak. A

fejlôdés eredményeként a munkalapok összekapcsolhatókká váltak. Az összeka pcsolhatóság lehetővé tette, hogy nem kellett az összes adatot egy meglehetôsen nagyméretű - s ezáltal különösen áttekinthetetlen táblázatba foglalni. A több munkalap használata logik usabb adatcsoportosítást is lehetôvé tett. N em kel l minden a datot a memóriában tárolni. A nem haszn ált lap okat a merevlemezen tárolhatjuk. Pl egy vá llalati n yilvántartásban akár a hónap minden napjának külön munkalapja lehet. Az összekapcsolhatóságnál a f ô problémát, illetve hibalehetôségét az okozza, hog yha egy o lyan adatot a karunk módosítani, a mely több munkalapon is s zerepel, akkor az összes munkalapot aktuális állapot ba kell hozni. Ennek e lmulasztása hib át eredményezhet. A megoldást a háromdimenziós számolótábla megalkotása jelentette. EXCEL • • • • • • • • • • • • Több táblázat összekapcsolható; Szelektiv

újraszámítás; Makrohasználat, makrokönyvtár; Koprocesszor használati lehetôség; EMS memóriahasználati lehetôség; Hálózati alkalmazás lehetôsége; Más programokkal való kompatibilitás: dBase III, Symphony, Sylk, Quattro, stb.; Grafika : vonal-, hasábgrafika, tortaábrák; UNDO parancs a müveletekhez; File szerkesztés (linkelés); Több betükészlet. Háromdimenziós grafikai megjelenítés. Az Excel-ben szöveg, szám, dátum idő, stb. típusú adatokat tárolunk A táblázatkezelő áll:-sorokból -oszlopokból A sorokat az ÁBÉCÉ betűivel, az oszlopokat pedig számokkal számláljuk.Egy adott sor- és oszlop koordinátáját(Pl.:B3; második oszlop harmadik eleme) cellának nevezzük. Egy cella tartalma szintén lehet: -szöveg -szám -dátum -idő -spec. obijektum -kifejezés(összeadás, kivonás és más pl.:matematikai kifejezés) 10. tétel a) Ismertesse a háttértárolók legfontosabb jellemzőit és csoportosításukat! A winchester főbb

jellemzői: zárt, ténylegesen merev, compact csomagolás, pára és pormentes, bírja a nagy írássűrűséget. Általában nem egy, hanem több egymással párhuzamos lemezből áll, közöttük, mint fésűsor közlekednek a fejek. Átlagos elérési idő (1 fizikai szektort mennyi idő alatt talál meg) általában 7-8 ms. A háttértároló perifériákra két fő okból van szükség: - az operatív memória kapacitásának kibővítése cserélhető adathordozókkal elvileg végtelenig, - az adatok a gép kikapcsolása után bármilyen hosszú ideig A mágneses jelrögzítés elve, hogy egy nem mágnesezhető mechanikai hordozóanyagra mágnesezhető réteget visznek fel. A mágnesezhető réteg úgy tekinthető, mintha el emi mágnesekből állna, amelyek egy tekercs előtt haladnak el. Ha a tekercsbe megfelelő áramot vezetünk, az elemi mágnesek egyik vagy másik irányba mágneseződnek attól függően, hogy milyen irányú az áram a tekercsben. Az elemi mágnesek ezt

az állapotukat hosszú id eig me gtartják. H a ezután a má gneses a dathordozót is mét e lmozdítjuk e gy tekercs előtt, amelyben természetesen nem folyik áram, akkor ezek az elemi mágnesek elhaladva a tekercs előtt, abban feszültséget hoznak létre, indukálnak. Ez az indukált feszültség a rögzített jelnek felel meg, amit a gépben megfelelően felerősítve és átalakítva vezérlésre használhatunk. Jellemzői: Lemezszám: 1-12 db. Alsó indexlemez (szervó v beállító lemez feladata fejszabályozás) Cilinder: az adattároló lemezfelület azonos számú sávjai Cluster: A FAT táblában a f oglaltság jelzése clusterenként történik. A cluster az a legkisebb tárterület, amit a DOS kezel. Egy cluster 18 s zektor, azaz 054 kB (-> egy nagykapacitású fix lemezen egy 20 B-os program ugyanannyi helyet foglal el, mint egy pl. 38 KB-os) Partíció: Egy merevlemezzel rendelkező pc-n max. 4 különböző operációs rendszer lehet Minden ope rációs

rendszer kül ön a s zámára kijelölt t erületen va gy másnéven p artíción helyezkedik el. A z eg yes o perációs rendszerek csak a s aját p artíciójukat t udják k ezelni A számítógép bekapcsoláskor azt a partíciót indítja, amelyik aktív állapotban van. Lehetőség van arra is, hogy egy operációs rendszer használja az egész területet. A partíciókra vonatkozó információ, a z 1. s zektor, 1 f ej 1 s ávján t alálható A pa rtíciós t ábla a boot rekord r észe A DOS partíció mérete 3. 3-ig max 32 MB (Ok: a FAT tábla 16 bites) CD: Nagy tárolókapacitás jellemzi (kb. 20-szorosa a Winchesternek!) Fajtái: 1. CD ROM-ok (csak olvashatóak, gyárilag programozottak) Compact Disc (Kapacitás kb. 600 Mbyte) Könyvtárak archiválására használják. Az információolvasás lézersugárral történik. Az információ hozzáférés 1988-ban 100-300 milisec. cm átmérőjű lemez egyoldalas -> 600 MB . 1 GB (kb 1000 floppy) ( 650 MB ¸ 250 000 gépelt

oldal) gyárilag "programozzák" . spirális sáv (kb. 5 km hosszú) hozzáférési idő 1 sec (1985) Lézeres kiolvasás Gyártása: Egy pol írozott üve glemezre fotólakkot visznek f el. A z in formációt d igitálisan modulált lézerfénnyel rögzítik. Előhívás - maratás -> az információnak megfelelő pitek -> galvanikus út on kópi a - a sajtoláshoz. A nyomott lemezeket tükröző alumíniumréteggel vonják be. Kiolvasás a másik oldalról -> gödör helyett ki emelkedések -> a visszaverődő lézersugár a kiemelkedésről másképp verődik vissza. b). Ismertesse az összegzés és eldöntés programozási tételeket Összegzés tétele Általános f eladat: Adott egy N elemű számsorozat. Számoljuk ki az elemek összegét! A sorozatot most és a továbbiakban is az N elemű A(N) vektorban tároljuk. Algoritmus: Eljárás S:=0 Ciklus I=1-től N-ig S:=S+A(I) Ciklus vége Eljárás vége. Eldöntés tétele Általános f eladat: Adott

egy N elemű sorozat és egy, a sorozat elemein értelmezett T tulajdonság. Az algoritmus eredménye: annak eldöntése, hogy van-e a sorozatban legalább egy T tulajdonsággal rendelkező elem. Algoritmus: Eljárás I:=1 Ciklus amíg I<=N és A(I) nem T tulajdonságú I:=I+1 Ciklus vége VAN:=I<=N Eljárás vége c) Ismertesse az Excelben levő tipikus diagramok fajtáit és a diagram területen fellelhető elemeket. Diagrammok: Az oszlop, sáv, grafikon, kör, pont, terület, sugár, felület, árfolyam és testdiagrammok: tartomány, diagramcím, kategóriatengely, értéktengely rácsvonalak, jelmagyarázat, feliratok adattábla