Kémia | Felsőoktatás » Az általános kémia

A doksi online olvasásához kérlek jelentkezz be!

Az általános kémia

A doksi online olvasásához kérlek jelentkezz be!


 2000 · 113 oldal  (897 KB)    magyar    542    2008. december 17.  
       
Értékelések

Nincs még értékelés. Legyél Te az első!

Tartalmi kivonat

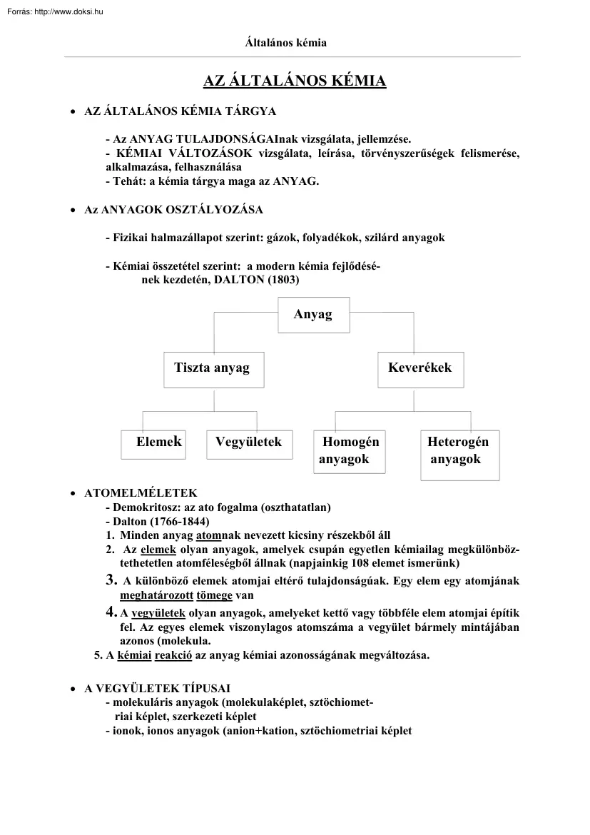
Általános kémia AZ ÁLTALÁNOS KÉMIA • AZ ÁLTALÁNOS KÉMIA TÁRGYA - Az ANYAG TULAJDONSÁGAInak vizsgálata, jellemzése. - KÉMIAI VÁLTOZÁSOK vizsgálata, leírása, törvényszerűségek felismerése, alkalmazása, felhasználása - Tehát: a kémia tárgya maga az ANYAG. • Az ANYAGOK OSZTÁLYOZÁSA - Fizikai halmazállapot szerint: gázok, folyadékok, szilárd anyagok - Kémiai összetétel szerint: a modern kémia fejlődésének kezdetén, DALTON (1803) Anyag Tiszta anyag Elemek Vegyületek Keverékek Homogén anyagok Heterogén anyagok • ATOMELMÉLETEK - Demokritosz: az ato fogalma (oszthatatlan) - Dalton (1766-1844) 1. Minden anyag atomnak nevezett kicsiny részekből áll 2. Az elemek olyan anyagok, amelyek csupán egyetlen kémiailag megkülönböztethetetlen atomféleségből állnak (napjainkig 108 elemet ismerünk) 3. A különböző elemek atomjai eltérő tulajdonságúak Egy elem egy atomjának meghatározott tömege van 4. A vegyületek olyan

anyagok, amelyeket kettő vagy többféle elem atomjai építik fel. Az egyes elemek viszonylagos atomszáma a vegyület bármely mintájában azonos (molekula. 5. A kémiai reakció az anyag kémiai azonosságának megváltozása • A VEGYÜLETEK TÍPUSAI - molekuláris anyagok (molekulaképlet, sztöchiometriai képlet, szerkezeti képlet - ionok, ionos anyagok (anion+kation, sztöchiometriai képlet Általános kémia - a kémiai reakciók típusai (oxidációszám, oxidációszám-változással járó és nem járó reakciók: redoxi és nem redoxi reakciók) - az anyagok mennyiségi viszonyainak leírását végzi a SZTÖCHIOMETRIA. • GÁZHALLMAZÁLLAPOT - állapothatározók: nyomás, hőmérséklet, térfogat, anyagmennyiség - közöttük egyszerű összefüggések (gáztörvények) BOYLE-(MARIOTTE) V α 1/P (T = áll.) CHARLES V = a + b t (t oC-ban) V = bT (T K-ben) (P = áll.) AVOGADRO (GAY-LUSSAC) V = n Vm N A = 6,02.1023 - Egyesített gáztörvény (egy komponens):

pv = nRT - Gáztörvény gázelegyekre (több komponens): p ö v ö = n ö R T = (n 1 +n 2 + . +n i ) R T - Parciális nyomás és térfogat pö = nö n n n RT = 1 RT + 2 RT + . + i RT = vö vö vö vö = p1 + p2 + . + pi pi = vö = ni p ö = Xip ö nö n n n nö RT = 1 RT + 2 RT + . + i RT = pö pö pö pö Általános kémia = v1 + v2 + . + vi vi = ni Vö = X i Vö nö pi Vö = Vi Pö • IDEÁLIS GÁZOK KINETIKUS GÁZELMÉLETE - Newton - Joule - Clausius - Maxwell - Boltzmann (1619. szd) - Alapgondolat: a gáz nyomása a gázmolekulák közötti kölcsönös taszítás eredménye. Az így előálló taszítás nyomja a gázmolekulákat az edény falához • POSZTULÁTUMOK 1. A gázmolekulák mérete (térfogata) elhanyagolható az edény méretéhez képest (a gázok nagymértékben összenyomhatók) 2. A molekulák mozgása minden irányban véletlenszerű, egyenesvonalú, egyenletes mozgás különböző sebességekkel (Brown mozgás) 3. Két molekula

között a vonzó vagy taszító erők (intermolekuláris kölcsönhatások) kicsik, elhanyagolhatók, kivéve, amikor egymással vagy az edény falával üt-köznek (a gázok kitöltik a rendelkezésre álló teret) 4. A gázmolekulák rugalmasan ütköznek egymással (kinetikus energia nem vész el. Ha az ütközés rugalmatlan lenne (hőszigetelt tartályban: T=áll), a kinetikus energia csökkenne, a molekula átlagos sebessége csökkenne, a nyomásnak is csökkennie kellene). 5. Egy gázmolekula átlagos kinetikus energiája az abszolút hőmérséklettel arányos (a Brown mozgás sebessége a hőmérséklet növelésével nő) • AZ IDEÁLIS GÁZTÖRVÉNY A KINETIKUS GÁZELMÉLETBŐL - a nyomás arányos a felületi ütközések gyakoriságával és az ütközés erejével: p α ütk. gyak * átl. erő - az átlagos erő függ a tömegtől (m) és a molekula átlagos sebességétől (u, impulzus = m.u) - az ütközések gyakorisága is függ az átlagos sebességtől és a

térfogatban lévő molekulák számától (N). - az ütközések gyakorisága végül fordítottan arányos az edény térfogatával. ütk. gyak átl erő p α (u . 1/V N) (m u) p . V α N m u2 - mivel egy m tömegű és u sebességű molekula átlagos kinetikus energiája 1/2 . m u2, ez egyenesen arányos a hőmérséklettel (T): Általános kémia p.V α NT - az arányossági tényező az R gázállandó, az N α n: p . V = n R T • A GÁZMOLEKULÁK SEBESSÉGE (Graham törvény) átlagos kinetikus energiájú gázmolekula sebessége fordítottan arányos a gázmolekula MOLÁRIS TÖMEGével. v= 3.RT M - DIFFÚZIÓ jelensége - EFFÚZIÓ jelensége Általános kémia A KINETIKUS GÁZELMÉLET MOLEKULÁRIS MEGFOGALMAZÁSA • z A x molekulák száma: N egyetlen molekula tömege: m (g) összes tömeg: N.m = m ö = nM gáz mólszáma: n (mol) gáz moláris tömege: M (g/mol) v vy vz l vx l l y Az i-edik gázmolekula sebessége: 2 + v2 + v2 vi2 = vix

iy iz Az összes gázmolekula sebessége: N 2 N 2 N 2 2 = + + v v v v ∑ ∑ i ix ∑ iy ∑ iz i =1 i =1 i =1 i =1 N Mivel nincsen kitüntetett irány a dobozban: N 2 N 2 2 = = v v ∑ ∑ ∑ v , ix iy iz i =1 i =1 i =1 N N 2 2 3 = v ∑ ∑ viy i =1 i =1 N Egyetlen gázmolekula átlagos sebessége: 1 N 2 2 2 2 2 ∑ v = v = v +v +v , x y z i N i =1 1 v y2 = v 2 3 Az xz-síkra (A felület) az y irányú ütközés kiváltotta nyomóerő (az inpulzus megváltozása ∆t idő alatt): ∆(m.v ) 2.mv m.v 2 iy iy iy = = , Pxz, i = 3 2 A.∆t 2 l l . l v iy 2, Pxz, i .V = mviy m.v 2 iy Pxz, i = V Általános kémia A nyomás tehát kifejtve az összes N molekulára: N 2 iy ∑ m.v Pxz = i = 1 V N m ∑ v 2 N .mv 2 iy y = 1 i = = V V Átrendezés után: n.M v P.V = mN v y2 = nM v y2 = 3 2 2 = E , 3 kin 2 P.V = E 3 kin Az ideális gáztörvény: n.M v 2 P.V = nRT = 3 és a sebesség kifejezése (Graham törvénye): v= 3.RT M Az ideális gáztörvény n=1

mólra: p.Vm = RT Ebből a kompresszibilitási tényező: Z= p.Vm R.T =1 P ≥ 102 P ≤ 102 (tökéletes gázra) Z 1 Z 1 Reális gázok esetén a kompresszibilitási tényező eltér az 1-től. A reális gázok olyan atomokból vagy molekulákból állanak, amelyek között intermolekuláris vonzások é taszítások működnek. A vonzások hatótávolsága nagyobb, mint a taszításoké. A kompresszibilitási tényező valójában ezen intermolekuláris erők ter-mészetének és hatásának kifejezője. Általános kémia • REÁLIS GÁZOK - A kinetikus gázelmélet 1. és 3 posztulátuma nagy sűrűségű (reális) gázokra nem érvényes. - Az ideális gáztörvény (kisérleti) korrekcióra szorul. - van der Waals egyenlet: (p + n 2a )(v −nb) =nRT v2 ahol a és b a kisérleti úton meghatározott helyesbítő tényezők, értékük minden egyes gázra más és más. - van der Waals állandók néhány gázra: - - a gáz (dm ) Pa/mol He H2 O2 CO 2

C2H6 0,03412 0,2444 1,360 3,592 5,489 2 b 3 dm /mol 0,02370 0,02661 0,03183 0,04267 0,06380 az “a” paraméter a molekulák közötti “vonzást” fejezi ki, így értéke viszonylag nagy olyan molekulákra, amelyek erősen vonzzák egymást, a “b” paraméter a molekulák közötti “taszítást” fejezi ki; úgy is tekinthetjük, mint ami az egyes molekula térfogatát képviseli a paraméterek szerepe világosabbá válik, ha átrendezzük a van de Waals egyenletet: n.RT n2 P= −a V − nb V2 majd írjuk át a kompresszibilitási tényező kifejezését a P behelyettesítésével: Z= - 3 2 P.Vm P.V V a.n 1 a.n = = − = − R.T nRT V − nb RTV 1 − (nb/V) RTV ideális gázokra az a- és b paraméterek értéke egyaránt 0, ezért Z = 1. Amikor a vonzó kölcsönhatás (a) kicsi és a taszító kölcsönhatás (b) számottevő, Z > 1 adódik. Fordítva, ha a taszító kölcsönhatás kicsi és a vonzó kölcsönhatás nagy, Z < 1 adódik. Ha

paramétereket egyszer már meghatároztuk, a van der Waals egyenlet segítségével az adott gáz nyomását megbecsülhetjük a számunkra ér-dekes körülmények között. Általános kémia - A van der Waals egyenlet csupán egy a sok erre a célra javasolt állapotegyenlet közül. Az egyik leggyakrabban használt egyenlet a VIRIÁL EGYENLET: Ez az egyenlet egy másik eljárást szemléltet, amit a mérnökök használnak P.V = nRT(1 + B C + + . ) Vm V 2 m leginkább: tegyük fel, hogy egy olyan egyszerű egyenletnek, mint az ideális gáztör-vénynek a jobb oldala, az n.RT, egy jóval bonyolultabb egyenletnek csupán az első meghatározó (és domináns) tagja . A B, C, , és így tovább együtthatókat MÁSODIK, HARMADIK, ÉS ÍGY TOVÁBB VIRIÁL KOEFFICIENSeknek nevezzük. E viriál koefficienseket, amelyek a hőmérséklettől is függnek, úgy határozzák meg, hogy a viriál egyenletet a kísérleti adatokhoz illesztik. A viriál egyenlet jóval általánosabb,

mint a van der Waals egyenlet, de becslések megtételére kevésbé alkalmas. • KRITIKUS HŐMÉRSÉKLET, KRITIKUS NYOMÁS: - Nagy nyomáson és megfelelően alacsony hőmérsékleten minden gáz cseppfolyósítható. - Minden gázra jellemző egy olyan hőmérséklet, amely felett a gáz semmilyen nyomáson nem cseppfolyósítható (KRITIKUS HŐMÉRSÉKLET) - Az a nyomás, amely pedig ahhoz szükséges, hogy a gáz a kritikus hőmérsékleten még cseppfolyósodjon, a KRITIKUS NYOMÁS. gáz H2O HCl CO 2 CS 2 O2 Cl 2 N2 NH 3 H2 He CCl 4 CCl 2 F 2 krit. hőmérs (K) 647,2 224,4 304,2 546,0 153,4 417,0 126,1 405,6 33,3 5,3 556,2 348,9 krit. nyomás (105Pa) 220,6 82,7 74,0 77,0 50,4 77,1 33,9 113,0 13,0 2,29 45,6 39,9 Általános kémia A FOLYADÉKOK DEFINÍCIÓK • Gázokhos hasonlóan FLUID ÁLLAPOT: • folynak, diffundálnak, DE • adott tömegű folyadék adott hőmérsékleten MEGHATÁROZOTT TÉRFOGATÚ • A kinetikus gázelmélet szerint: • a molekulák között

számottevő vonzóerő működik (lokális rendezettség) • A kötőerők típusai: - van der Waals (apoláris molekulák között) - dipól-dipól (poláris molekulák között) - H-kötés • a molekulák viszonylag közel vannak egymáshoz • a molekulák állandó rendezetlen mozgásban vannak (diffúzió, párolgás) • adott folyadékmintában a molekulák átlagos kinetikus energiája az abszolút hőmérséklettel arányos • Meghatározott térfogata miatt a folyadék és környezete között HATÁRFELÜLET van: ezek a FÁZISOK, amelyeket határfelületek választanak el egymástól • A folyékony és szilárd anyagok KONDENZÁLT FÁZIST alkotnak A FOLYADÉKOK TULAJDONSÁGAI • GŐZNYOMÁS, GŐZTENZIÓ: Adott hőmérsékleten a folyadékkal egyensúlyt tartó gáz parciális nyomása. Hőmérséletfüggő! (PÁROLGÁS, KONDENZÁCIÓ) Fázisdiagram (a víz példáján) A π (105Pa) 1,013 C (374oC, 218 kPa) szilárd F folyadék B T 0,006 S gõz T:

harmatpont (hármaspont) 0 T (oC) 100 Általános kémia F: fagyáspont (olvadáspont) B: forráspont C: kritikus pont TBC görbe: folyadék-gőz egyensúly (párolgás, kondenzálás) TA görbe: folyadék-szilárd egyensúly (olvadás, fagyás) TS görbe: szilárd-gőz egyensúly (szublimálás, kondenzálás) • FELÜLETI FESZÜLTSÉG: • folyadék belsejében az egyes molekulákra ható erők egyenlők, kiegyenlítik egymást (KOHÉZIÓS ERŐ) • a folyadék felszínén a molekulára a folyadék belseje felé mutató eredő erő hat: a folyadék ezért a lehető legkisebb felszínt igyekszik kialakítani (CSEPP-forma) • kapilláraktív hatás (ADHÉZIÓS ERŐ) példák: meniszkusz vízben (nedvesítő közeg), Hg-ban (nem nedvesítő közeg), szerepe a biológiában • VISZKOZITÁS: áramlással szembeni ellenállás, intermolekuláris vonzás következménye. (pl glicerin, H-kötések) A hőmérséklet növekedésével CSÖKKEN AZ OLDATOK • DEFINÍCIÓ: az oldatok

legalább kétkomponensű rend-szerek, a kisebb mennyiségű az OLDOTT ANYAG, a nagyobb mennyiségű az OLDÓSZER • OLDOTT ANYAG lehet: gáz, foly., szilárd anyag, az OLDÓSZER szintén, pl ötvözet szilárd + szilárd gázelegy gáz + gáz cseppfolyós foly. + foly szil. + foly gáz + foly. tehát: gázelegyek, cseppfolyós oldatok, szilárd oldatok • CSOPORTOSÍTÁS: valódi oldatok, nem valódi oldatok (kolloidok) VALÓDI OLDATOK • Homogén kétkomponensű elegyek • az oldódás folyamata • az oldhatóság és az oldhatóságot befolyásoló tényezők RÁCSENERGIA - HIDRATÁCIÓS (SZOLVATÁCIÓS ENERGIA) • NEM IONOS OLDATOK - molekularácsos anyagok oldódása egyszerű keveredés - korlátlan oldódást várunk - pl. gázelegyek, apoláris szénhidrogének elegyei - "hasonló a hasonlót oldja" Általános kémia - DE: H 2 O + alkohol: H-kötés segít, az oldhatóság kis C-atomszámú alkohol esetén jó, nagy C-atomszámú alkohol esetén rossz.

• IONOS OLDATOK - ionos anyagok pl. vízben ionokra disszociálódva oldódnak (RÁCSENERGIA < HIDRATÁCIÓ) - RÁCSENERGIA függ: inok töltésével egyenes, szomszédos ionok távolságával fordítva arányos - HIDRATÁCIÓ függ: inok töltésével egyenes, ionmérettel fordítva arányos - Pl. az oldhatóságra: Mg(OH) 2 < Ca(OH) 2 < Sr(OH) 2 < Ba(OH) 2 MgSO 4 > CaSO 4 > SrSO 4 > BaSO 4 - a hőmérséklet hatása az oldhatóságra: KNO 3 , CuSO 4 : hőm. növekedtével nő Ca(CH 3 COO) 2 , Ce 2 (SO 4 ) 3 hőm. növvel csökken - nyomás a gázok oldhatóságát befolyásolja (le Chatelier elv) - gázok oldhatósága: HENRY-törvény: [X] a gáz oldhatósága [X] = k H P x k H a Henry állandó P x a gáz parciális nyomása KOLLOIDOK (nem valódi oldatok) • a diszpergált részecskék mérete: 10-2000 Angström • Tyndall-effektus: különbség a valódi oldatoktól, a fény a diszpergált részecskéken szóródik (reflektorfény a ködben) •

Kollodi típusok: folytonos fázis gáz gáz folyadék folyadék folyadék szilárd szilárd szilárd diszpergált fázis folyadék szilárd gáz folyadék szilárd gáz folyadék szilárd név aeroszol aeroszol hab emulzió szól hab gél szilárd szól • HIDROFIL KOLLOIDOK - víz + nedvesített részecske = hidrofíl kolloid (liofíl) - pl. fehérjék vizes oldata, tej, tojás fehérje, zselatin • HIDROFÓB KOLLOIDOK példa köd füst habositott krém majonéz AgCl(sz) vízben műanyaghab zselék fém üvegben Általános kémia - víz + nem nedvesített részecske = hidrofób kolloid - instabil, egy idő után aggregáció = a kolloid részecske kiválik (ez az idő pl. lehet igen hosszú is) - a Faraday-féle arany-szól 1857. óta stabilis (British Museum) - a stabilitás oka: a felületen adszorbeálódott azonos töltésű ionok taszítása lassítja az aggregálódást (pl. Fe(III)(OH) 3 szól felületén a fölös Fe3+ ionok megakadályozzák az aggregálódást. -

koagulálódás: kolloid kicsapódik az oldatból, pl. Fe(III)(OH) 3 szól + PO 4 3+ ionok, vagy savanyítás, vagy hőmérséklet emelés hatására • ASSZOCIÁCIÓS KOLLOIDOK - micellák = hidrofób + hidrofíl végződésű molekulák diszpergálódnak vízben - pl. a szappan a vízben: CH 3 (CH 2 ) 16 COONa+ hidrofób hidrofíl végződés zsiradék oldódik a micellában hidrofíl környezet • VALÓDI OLDATOK CSOPORT (KOLLIGATÍV) SAJÁTSÁGAI - az oldott anyag minőségétől NEM, az oldatban a RÉSZECSKESZÁMtól és az oldószer MINŐSÉGÉtől függ, a változásokat a híg oldatok törvénye (Raoulttörvények írják le. - az oldat GŐZNYOMÁSA a tiszta oldószeréhez képest csökken P = P0 X az összefüggés más alakban: P0 - P = ∆P = P0 X = P0 M oC R 1000 + M oC R ahol P az oldat, P0 a tiszta oldószer gőznyomása, X az oldott (nem illó) anyag móltörtje, C R a Raoult koncentrációja (molalitása), M o az oldószer moláris tömege. Általános

kémia π (105Pa) 1,013 ∆Td (1 atm) szilárd/folyadék hármaspont 0,006 szilárd/oldat hármaspont T (oC) ∆Td ( kb.4,6 Hgmm) - az oldat DERMEDÉSPONTCSÖKKENÉSE ∆T d = i ∆T Md C R ahol ∆T Md a moláris dermedéspontcsökkenés, i a van’t Hoff koefficiens (nem ionos oldatokban i = 0) - az oldat FORRÁSPONTEMELKEDÉSE ∆T F = i ∆T Mf C R ahol ∆T Mf a moláris dermedéspontcsökkenés, i a van’t Hoff koefficiens (nem ionos oldatokban i = 0) - az oldat OZMÓZISNYOMÁSA π =iCRT ahol C a mol/dm3 koncentráció (molaritás) ∆Tf Általános kémia A SZILÁRD ANYAGOK Atomokból, molekulákból, vagy ionokból felépülő, a szerkezeti egységek között eléggé erős kölcsönhatások alkotta anyagok. A csoportosításuk egyik módja éppen a szerkezeti egységeket összetartó ERŐK TÍPUSAIN alapul. A szilárd anyagok típusai Típusok Molekularácsos Fémrácsos Ionrácsos Szerkezeti egységek Atomok vagy molekulák Atomtörzsek elektronok terében

Ionok Kovalens atomrácsos Atomok Vonzóerők a szerkezeti Példák egységek között Intermolekuláris erők Ne, H 2 O, CO 2 Fémes kötés (sokcentrumú Fe, Cu, Ag delokalizált kötés) Ionos kötés CsCl, NaCl, ZnS Kovalens kötés gyémánt, grafit, azbeszt Kristályos és amorf anyagok A kristályos anyag : egyedi, határozott formájú kristályokból áll törési felülete sík felület határozott olvadáspontja van (nem bomlik) példák: NaCl, cukor, fémek Amorf anyag: nem kristályos, nincs meghatározott alakja törésre görbült vagy szabálytalan felületet ad lágyul, majd széles hőmérséklettartományban olvad példák: aszfalt, paraffin, üveg, obszidián A kristályrács A kristályos anyagok csoportosításának másik módja a KRISTÁLYRÁCS TÍPUSAIN alapul. A kristályos anyag legkisebb ismétlődő szerkezeti egysége az ELEMI CELLA, amely meghatározott módon rendezett atomokból, molekulákból vagy ionokból áll. A kristályok elemi cellájuk

alapján HÉT KRISTÁLYREND-SZERbe sorolhatók: Kristályrendszer Köbös Tetragonális Ortorombos Élhosszúság a=b=c a=b≠c a≠b≠c Szögérték α = β = γ = 90o α = β = γ = 90o α = β = γ = 90o Monoklin a≠b≠c α = β = 90o , γ ≠ 90o Példák NaCl, Cu TiO 2 (rutil), Sn (fehér) CaCO 3 (aragonit), BaSO 4 (barit) Na 2 B 4 O 7 .10H 2 O (borax), Általános kémia o o Hexagonális Romboéderes a=b≠c a=b=c α = β = 90 , γ = 120 α = β = γ ≠ 90o Triklin a≠b≠c α ≠ β ≠ γ ≠ 90o 900 PbCrO 4 C (grafit), ZnO CaCO 3 (kalcit), HgS (cinnabarit) K 2 Cr 2 O 7 , CuSO 4 .5H 2 O 900 900 c=a c c 900 900 900 b=a b=a 900 a Köbös (kockarács, lapközépontos, térközéppontos) 900 a a Tetragonális γ b 900 Ortorombos 1200 α 90 c 90 0 c 90 0 a b b=a Monoklin Hexagonális c β 900 c=a α α a γ α 0 a Romboéderes b=a Általános kémia a b Triklin Anyagi tulajdonságok és a rácstípusok

kapcsolata A kristályrácsban vizsgálandó sajátosságok: • a rácspontokban milyen részecskék vannak (molekulák, atomok, atomtörzsek, ionok) • a részecskék között ható kölcsönhatás és erőssége (van der Waals intermol., kémiai kötés, fémes kötés, ionkötés) • a kölcsönhatás irányított (kémiai kötés), vagy nem irányított (van der Waals intermol., fémes kötés, ionkötés) • a részecskék illeszkedésének szorossága, a részecskeméret(ek) szerepe Makroszkópikus tulajdonságok: • olvadáspont, forráspont • elektromos és hővezető képesség • szín • sűrűség, egyéb sajátosságok Összefoglalás MOLEKULARÁCSOS anyagok: • rácspontokban diszkrét molekulák • közöttük gyenge intermolekuláris erők (van der Waals, másodlagos kémiai, pl. H-kötés, dipól-dipól kölcsönhatás) • a kölcsönhatások nem irányítottak, • az illeszkedés a rácsban ezért szoros • jellemző rácstípus: köbös, hexagonális

• makró tulajdonságok: alacsony op., fp, közel egymáshoz • példák: kén, (grafit) FÉMRÁCSOS anyagok (a fémek) • rácspontokban atomtörzsek delok. elektronok tengerében • közöttük erős fémes kötés (sokcentrumos, delokalizált π-kötés) • a kölcsönhatás nem irányított, • az illeszkedés a rácsban ezért szoros • jellemző rácstípus: köbös, hexagonális • makró tulajdonságok: magas, változó op., fp, jó elektromos és hővezető képesség, színes anyagok • példák: a fémek (grafit) KOVALENS ATOMRÁCSOS anyagok: • rácspontokban atomok • közöttük erős kémiai kötés • a kölcsönhatás, a kémiai kötés irányított, Általános kémia • • • • az illeszkedés a rácsban ezért NEM szoros jellemző rácstípus: változó makró tulajdonságok: magas, op., fp, elektromos szigetelők, hővezető képesség rossz, nem színes anyagok (fehérek) példák: gyémánt, (grafit) IONRÁCSOS anyagok: • rácspontokban

ionok • közöttük erős ion kötés (Coulomb erő) • a kölcsönhatás nem irányított, • az illeszkedés a rácsban ezért szoros, az illeszkedést a relatív ionméret és az iontöltés befolyásolja • jellemző rácstípus: változó • makró tulajdonságok: magas, op., fp, olvadékok elektromos vezető képesség jó (ion- v. másodrendű vezetés), • példák: NaCl – lapközéppontos kocka, CsCl - térközéppontos kocka, Példák: Grafit CsCl ( Cs+ Cl- ) NaCl ( Na+ Cl-) Általános kémia TERMOKÉMIAI FOGALMAK (Halmazállapotváltozások entalpiája) • A REAKCIÓHŐ ÉS az ENTALPIA Ba(OH) 2 .8H 2 O + NH 4 SCN reakció hőelnyeléssel jár együtt (a sóelegy elfolyósodik) rendszer hő (q ) edény + atmoszféra (a lombik lehűl) környezet • Tapasztalatok: T 1 > T 2 , T 1 helyről a kisebb felé T 2 hőáramlás a nagyobb hőmérsékletű • A fizikai és kémiai változások HŐSZINEZETE: ENDOTERM: a rendszer energiát vesz fel +q >0

EXOTERM: a rendszer energiát ad le -q <0 a hőforgalmat mindig a (vizsgált) rendszer szempontjából tekintjük, pl. CH 4 (g) + 2 O 2 (g) CO 2 (g) + 2 H 2 O(f) reakció exoterm, q = -890 kJ/mol • Ez a REAKCIÓHŐ , ha a rekció nyitott edényben zajlik (1 atm, 25oC) a rekció ENTALPIÁja (a nyomás állandó, a térfogat változik) • Az ÁLLANDÓ NYOMÁSon mért q REAKCIÓHŐ a reakcióba lépő REAKTÁNSOK és a TERMÉKEK ENTALPIÁnak nevezett tulajdonságával kapcsolatos. • Az ENTALPIA (H) ÁLLAPOTFÜGGVÉNY, mivel nagysága az anyag állapotát meghatározó változásoktól függ. • A reakcióhoz ENTALPIAVÁLTOZÁS (∆H) tartozik ∆H = H(termékek) - H(reaktánsok) q p = ∆H az állandó nyomáson mért reakcióhő A reakcióhő és az anyagok entalpiája közötti kapcso-lat a metán égése példáján: CH 4 (g) + 2 O 2 (g) CO 2 (g) + 2 H 2 O(f) ∆H = - 890 kJ/mol Általános kémia • A ∆H nagysága függ az anyagok halmazállapotától: CH 4 (g)

+ 2 O 2 (g) CO 2 (g) + 2 H 2 O(g) ∆H = -802 kJ/mol a hő egy része (890-802=82 kJ/mol) a víz elpárologtatásához szükséges • Az ENTALPIA és az ENERGIA. A kémiai rendszer energiája megváltozik, ha hőt vesz fel, vagy hőt ad le. A rendszer térfogatváltozása is energiaváltozással jár együtt Ha pl. a rendszer P nyomás ellenében ∆V-vel növeli térfogatát, ehhez P∆V energia kell (ez az un. TÉRFOGATI MUNKA), ami a rendszerből származik, előjele ezért NEGATÍV: ∆E = q p - P∆V • Ez a TERMODINAMIKA I. TÖRVÉNYE (az ENERGIAMEGMARADÁS törvénye): a rendszer energiaváltozása a különböző energiaváltozások összege • ez átrendezve: q p = ∆E + P∆V azaz a reakcióhő a rendszer energiaváltozása és a térfogati munka összege. Más szavakkal, ha a rendszer térfogata nem változik, a reakcióhőt a termékek és a reaktánsok energiájának különbsége adja. • A reakcióhő mérése: KALORIMÉTER segítségével • Termoanalitikai

módszerek: DERIVATOGRÁFIA • A HŐKAPACITÁS (C) egy anyagra jellemzően az a hőmennyiség, amely ahhoz szükséges, hogy hőmérsékletét 1 oC-kal (vagy 1 K-nel) emeljük: q = C ∆t = C ( t v - t k) • A MÓLHŐ egy mól anyag hőkapacitása • A FAJHŐ (c) az a hőmennyiség, amely az anyag 1 grammjának hőmérsékeltét 1 oCkal (vagy 1 K-nel) emeli (intenzív mennyiség, mivel egységnyi tömegre vonatkozik) q = c m ∆t = C ∆t Példák: c(H 2 O) = 4,184 J/g.oC c(Fe) = 0,447 J/g.oC c(Al) = 0,903 J/g.oC • REAKCIÓHŐ SZTÖCHIOMETRIÁJA A sztöchiometriai számítások a reakcióhők mennyiségére is alkalmazhatók. Általános kémia Pl. a metán égetésekor mekkora a 15 gramm O 2 felhasználásával keletkezett hő? 15, 0gO 2 * 1molO 2 −890 kJ = − 209kJ * 32, 0gO 2 2 molO 2 mérése szintén kaloriméterrel. • HESS TÖRVÉNYE Összetett vagy többlépcsős folyamatok reakcióhője nem határozható meg egyszerűen. Pl 1. 2 C(grafit) + O 2 (g) 2

CO(g) oxigénfeleslegben továbbmegy CO 2 -ig: 2. 2 CO(g) + O 2 (g) 2 CO 2 (g) Ugyanakkor a grafitból egy lépésben is keletkezhet CO 2 (g): 3. C(grafit) + O 2 (g) CO 2 (g) Mivel az (1) reakció nem egyedül játszódik le, a kalorimetriásan mért hő a három reakció hőjének valamilyen keveréke. Henri Hess (1840.) szerint az (1) reakció hője (∆H 1 ) kiszámítható a (2) és (3) reakció hőjéből (∆H 2 és ∆H 3 ), amelyek viszont kalorimetriásan meghatározhatók. ∆H 2 = - 566 kJ és ∆H 3 = -393,5 kJ. Tételezzük fel, hogy az (1) két lépésben játszódik le: 4. 2 C(grafit) + 2 O 2 (g) 2 CO 2 (g) ∆H 4 = 2 ∆H 3 = 2(-393,5) = -787,0 kJ és hogy a CO 2 bontható CO-ra és O 2 -re (a 2. reakció megfordítható) 5. 2 CO 2 (g) 2 CO(g) + O 2 (g) ∆H 5 = - ∆H 2 = 566 kJ Adjuk össze a (4) és (5) reakciókat : 2 C(grafit) + 2 O 2 (g) + 2 CO 2 (g) Általános kémia 2 CO 2 (g) + 2 CO(g) + O 2 (g) azaz 1. 2 C(grafit) + O 2 (g) 2 CO(g) ∆H

1 = (- 787,0 + 566) kJ = - 221,0 kJ Tehát a két - (2) és (3) - reakció líneáris kombinációjaként megkapjuk az (1) reakciót, és az őket kísérő entalpia-változásokból az ismeretlen (kalorimetriásan nem mérhető) ∆H 1 -et. • Ez maga a Hess-törvény: összetett folyamatok entalpiaváltozása csak a kezdeti- és végállapottól függ, független a lejátszódó részfolyamatoktól. A fentiek grafikusan: 2 C(grafit) + 2 O 2 (g) 0 ↑ E (kJ) 2 CO(g) + O 2 (g) ∆H 1 2 ∆H 3 = = -787 kJ ∆H 2 = -566 kJ -787 2 CO 2 (g) • KÉPZŐDÉSI ENTALPIÁK Kalorikus mérések és a Hess-törvény segítségével majdnem minden reakció ∆Hját meghatározhatjuk. Az egyes reakciók adatai összegyűjthetők, később felhasználhatók Ezért kényelmes megoldás a vegyületek képződési ∆H-ját elemeikből meghatározni: • STANDARD KÉPZŐDÉSI ENTALPIÁK (∆H ko) = 1 mol anyag elemeiből képződik (standard állapot-ban: 1atm, 25oC). Pl a víz st képz

entalpiája: H 2 (g) + 1/2 O 2 (g) H 2 O(f) ∆H ko = -285,8 kJ Általános kémia Ha egy elemnek több módosulata is van, azt választ-juk, amely st. körülmények között a legstabilisabb (pl. a grafitot): C(grafit) + 2 H 2 (g) CH 4 (g) ∆H ko = -74,1 kJ C(gyémánt) + 2 H 2 (g) CH 4 (g) ∆H ko = -76,8 kJ A gyémánt képződési entalpiája tehát: C(grafit) C(gyémánt) ∆H ko = 1,9 kJ Az elem referencia állapotban: ∆H ko = 0 kJ • A TERMOKÉMIA ALKALMAZÁSI TERÜLETEI • Kötési energiák jellemzése, pl. CH 4 (g) C(g) + 4 H(g) ∆H = 1662 kJ Mivel négy kötést szakítottunk fel, az egy C-H kötésre jutó ∆E megadja a C-H kötés energiáját: KE(C − H ) = 1662 = 416kJ 4 A kötési energia előjele mindig +, mert a kötés felbon-tásához energia kell. • Rácsenergiák meghatározása. Pl NaCl(sz) Na+(g) + Cl-(g) rácsenergia közvetlen kísérleti meghatározása nagyon nehéz. Hess-törvénye alapján azonban más kísérletekből

közvetett módon meghatározható Általános kémia BORN-HABER ciklus Táblázatból a NaCl(sz) st. képződési entalpiaváltozása ∆H ko=-411 kJ/mol közvetlen út Na(sz) + 1/2 Cl 2 (g) NaCl(sz) 2.(dissz) ∆H 5 = ∆H 2 =120 kJ/mol = -U Cl(g) 1.(szubl) ∆H 1 =108 kJ/mol 4.(Cl elaff) Cl-(g) ∆H 4 =-349 kJ/mol + Na(g) 3.(Na ionizációja) ∆H 3 =502 kJ/mol Na+(g) A második út 5 lépésben zajlik (∆H 5 = -U a rácsenergia) Ebből ∆H 1 + ∆H 2 + ∆H 3 + ∆H 4 + ∆H 5 = 108 + 120 + 502 - 349 - U = o = 381 kJ - U = ∆H k = - 411 kJ/mol U = (381 + 411) kJ/mol = 792 kJ/mol • Halmazállapotváltozások fázisváltozásai entalpiájának meghatározása, pl. - olvadáshő H 2 O(sz) H 2 O(f) ∆H olv =6,01 kJ/mol (endoterm) - párolgási hő H 2 O(f) H 2 O(g) ∆H pár =40,7 kJ/mol (endoterm) a H2O Általános kémia A KÉMIAI EGYENSÚLY TERMODINAMIKA ÉS EGYENSÚLY • A VÍZGÁZ REAKCÍÓ és jelentősége (szintézisgáz előáll.) C(sz) + H 2

O(g) CO(g) + H 2 (g) Bizonyos körülmények között a termékek reakcióba lépnek és CH 4 képződik: CO(g) + 3 H 2 (g) CH 4 (g) + H 2 O(g) (katalitikus metánozás, Paul SABATER, 1902, Nobel-díjas) A reakció fordítva is lejátszódik (modern szintézisgáz előállítás, gázreformálás) CH 4 (g) + H 2 O(g) CO(g) + 3 H 2 (g) A reakciótermékek számos vegyipari folyamat alapanyaga (NH 3 -, CH 3 OH- stb. gyártás) • A példa bizonyítja: A REAKCIÓK MEGFORDÍTHATÓK. Tehát nem játszódnak le végig, egyensúly alakul ki a REAKTÁNSOK és a TERMÉKEK között. Minden komponens egyidejűleg jelen van a REAKCIÓELEGY-ben • AZ EGYENSÚLY LEÍRÁSA, mennyiségi jellemzése. A reakcióelegy komponensei dinamikus egyensúlyban vannak egymással ( kettős nyíllal jelöljük) CO(g) + 3 H 2 (g) CH 4 (g) + H 2 O(g) [mol] H2 CO egyensúlyi mennyiségek CH4 +H 2 O idő Általános kémia Egyensúlyban a termékekhez vezető () és az ellentétes irányú (←)

REAKCIÓ SEBESSÉGE AZONOS, a rendszer összetételében változás nem következik be. • EGYENSÚLYI ÁLLANDÓ (K e ) aA +bB cC+dD általános reakcióra [C]c [D]d Kc = [A]a [B]b T ahol a [ ] az egyensúlyi [mol/dm3] koncentráció - K p gázegyensúlyok esetén (pl. metánozási reakció) Kp = p (CH ) p (H O ) p (CO) p (H3 ) 4 2 2 az egyensúlyi koncentráció arányos az összetevők parciális nyomásával a gázelegyben A K c és a K p értéke nem azonos: a [ ] = n/V = p / RT figyelembe vételével K p = K c (RT) ∆n - ∆n az egyensúlyi reakció összetevői sztöchiometriai együtthatóinak összege (termék +, reaktáns - előjellel) - a metánozási reakció esetében: ∆n = 1 + 1 - 1 - 3 = - 2 , és K p = K c (RT) -2 • HETEROGÉN EGYENSÚLYOK - homogén - reakció azonos fázisban - heterogén - reakció legalább két különböző fázisban pl. az izzó vas és a vízgőz reakciója 3 Fe(sz) + 4 H 2 O(g) Fe 3 O 4 (sz) + 4 H 2 (g) Általános

kémia - Nem vesszük figyelembe a szilárd vagy folyadék fázisú komponenseket (mennyiségük állandó!) [H 2 ]4 Kc = [H 2O]4 - a szilárd halmazállapotú komponensek mennyisége állandó. [Fe3O 4 ][H 2 ]4 Kc = [Fe]3 [H 2O]4 ' - vessük össze a két állandót: [Fe]3 Kc = Kc [Fe3O 4 ] ' - A reakcióban az [Fe] és az [Fe 3 O 4 ] mennyisége állandó, csak a [H 2 ] és [H 2 O] változik. • AZ EGYENSÚLYI ÁLLANDÓ FELHASZNÁLÁSA - Az egyensúly kvalitatív értelmezésére, a K nagysága alapján jellemezhető a reakció: a termékek vagy a reaktánsok képződésének kedvez - A reakció irányának előrejelzése: a PILLANATNYI KONCENTRÁCIÓK és a REAKCIÓHÁNYADOS alapján, pl. Q= ha Q > Kc Q = Kc Q < Kc [CH 4 ][H 2O] [CO][H 2 ]3 a reakció visszafelé játszódik le éppenn egyensúlyban van a reakció a termékképződés irányába halad - Egyensúlyi koncentrációk számítása • AZ EGYENSÚLYT BEFOLYÁSOLÓ TÉNYEZŐK A Le Chatelier elv

(a legkisebb kényszer elve) alkalmazásával: ha egy reakciófeltételt megváltoztatunk, olyan (fordított irányú) változás következik be, ami a reakciófeltétel megváltozását igyekszik mérsékelni 1. Reaktánsok hozzáadása, termékek elvétele Általános kémia 2. Hőmérséklet megváltoztatása (endoterm, exoterm) CO(g) + 3 H 2 (g) CH 4 (g) + H 2 O(g) ∆H = - 206,2 kJ 3. Nyomás megváltoztatása (a reakció mólszám csökkenéssel, vagy -növekedéssel jár) 4. Katalizátor alkalmazása (az egyensúlyi állandót nem, a reakció sebességét változtatja meg) • A TERMODINAMIKA és AZ EGYENSÚLY 2 NH 3 (g) + CO 2 (g) NH 2 CONH 2 (aq) + H 2 O karbamid - A KARBAMID fontos ipari nyersanyag és műtrágya. - A KÉRDÉS az, alkalmas-e a reakció a karbamid előállítására. - A VÁLASZ a termodinamika segítségével, a hőmenynyiség mérésével megadható - A TERMODINAMIKA a fizikai és kémiai folyamatokhoz tartozó hőenergia és más energiafajták

közötti kapcsolatot vizsgálja - TERMODINAMIKAI FOGALMAK: Entalpia (H) - reakcióhő állandó nyomáson Entrópia (S) - rendezetlenség, véletlenszerűség Szabadentalpia - G = H - TS - A SZABADENTALPIA (G) megadja, hogy a reakció spontán folyamat-e (azaz mi a reakció természetes iránya) - A fenti reakció ∆Ho -ja a standard képződési entalpiákból: ∆H ko : 2 NH 3 (g) + CO 2 (g) NH 2 CONH 2 (aq) + H 2 O 2(-45,9) - 319,2 - 393,5 - 285,8 kJ/mol ∆Ho = [( -319,2 - 285,8 ) - ( 2 . 45,9 - 393,5 )] = -119,7 kJ A reakció EXOTERM • Az ENTRÓPIA és a II. FŐTÉTEL - Az ENTRÓPIA ( S, J.K-1) állapotfüggvény (azaz az anyag állapotát meghatározó tényezőktől függ), egy rendszer VALÓSZÍNŰSÉGÉT, RENDEZET LENSÉGÉT fejezi ki Általános kémia - pl. 1 mol 0oC-os víz entrópiája: 41 JK-1 1 mol 0oC-os, 1 atm nyomású víz entrópiája: 63 JK-1 - Amikor a jég elolvad, az entrópia nő -- a rendszer a jégkristályok rendezett állapotából a víz

rendezetlen állapotába megy át. - ∆S ENTRÓPIAVÁLTOZÁS (folyamatok jellemzője) ∆S = S(termék) - S(reaktáns) pl. ∆S olvadás = 63 - 41 = 22 JK-1 - A TERMODINAMIKA II. FŐTÉTELE A folyamatok akkor játszódnak le természetesen (spontán), ha a változás a rendezetlenségét növeli. más szavakkal EGY RENDSZERNEK ÉS KÖRNYEZETÉNEK ENTRÓPIÁJA A SPONTÁN FOLYAMATOK EREDMÉNYEKÉNT MINDIG NŐ. - Az entrópia hőforgalommal jár együtt. A HŐÁTADÁS: a molekulák ütközés útján energiájukat átadják környezetüknek. ENERGIAÁRAMLÁS = ENTRÓPIAÁRAMLÁS: a rendezetlenség átadása a rendszer és a környezet között pl. a jég olvadása hőfelvétel a jég megolvad: rendezetlenné válik (víz) A T hőmérsékleten elnyelt hőmennyiség: q, a rendszerbe áramlott entrópia q/T. - Amikor egy rendszer hőt nyel el vagy hő szabadul fel, a rendszer entrópiája megváltozhat: ∆S > q/T (spontán folyamat) ∆S = q/T (egyensúlyi folyamat) - A

fázisátalakulások EGYENSÚLYI FOLYAMATOK. A JÉG olvadása ismét (az olvadáshő ∆H= 6 kJ/mol a mérések szerint). Az olvadáskor bekövetkező entrópiaváltozás az olvadáspont hőmérsékletén (273 K): ∆H olv 6, 0.10 3 J = = 22J K −1 ∆S = T 273K - A KARBAMID képződése spontán reakció-e? - tudjuk, hogy állandó nyomáson a q reakcióhő a ∆H entalpiaváltozással egyenlő - és a termodinamika II. törvénye szerint állandó nyomáson és hőmérsékle-ten lezajló spontán folyamatban: Általános kémia ∆S > q = ∆H T T más formában ∆H - ∆S < 0 T /* T ∆G = ∆H - T∆S < 0 a (Gibbs-féle) szabadentalpia változása - Ha a kifejezés értéke negatív, a reakció a felírt irányban SPONTÁN lejátszódik ∆G = ∆H - T∆S < 0 SPONTÁN ∆G = ∆H - T∆S > 0 KÉNYSZER (a fordított irányban spontán) ∆G = ∆H - T∆S = 0 EGYENSÚLY - Feltétel a kérdés eldöntéséhez: ismerni kell a reakcióelegy

komponenseinek entrópiáit és entalpiáit - Az ENTRÓPIA MEGHATÁROZÁSA kísérleti úton: különböző hőmérsékleteken mérjük az anyag által elnyelt hő mennyiségét (HŐKAPACITÁS). - PEREMFELTÉTEL: 0K hőmérsékleten egy tökéletes kristály tökéletesen rendezett, tehát entrópiája NULLA. (Ez a TERMODINAMIKA III. FŐTÉTELE) - Az ENTRÓPIA tehát HŐMÉRSÉKLETFÜGGŐ, a hőmérséklet növekedésével nő. Fázisátalakuláskor a változás meredek, ugrásszerű - So a STANDARD ENTRÓPIA (298K, 1 atm) elemekre: So ≠ 0, de ∆H = 0 (III. főtétel!) - REAKCIÓK ENTRÓPIAVÁLTOZÁSA számítható tehát, DE a reakciók ∆S > 0, ha TÍPUSÁ-ból becsülhető is: a) Egy molekula 2 vagy több részre esik szét b) Gázok mólszáma nő c) Szilárd anyag folyadékká, vagy folyadék gázzá alakul át. - A SZABADENTALPIA ÉS AZ EGYENSÚLY - Válaszoljuk meg tehát a kérdést, a KARBAMID előállítására választott reakció spontán-e: Általános kémia -

A képződési entalpiákból számított reakcióhő: ∆H0 = 119,7 kJ - A számított standard entrópia: S0 = 0,356 kJK-1 ∆G0 = ∆H0 - T∆S0 = -13,6 kJ < 0 SPONTÁN a reakció standard körülmények között ahol a ∆G0 a STANDARD SZABADENTAL-PIA-változás, amikor standard állapotú reak-tánsok alakulnak át standard állapotú termékekké. - A ∆G k0 a KÉPZŐDÉSI STANDARD SZABAD-ENTALPIA-változás, amikor 1 mol anyag képződik a standard állapotú elemekből. Pl N 2 (g) + 3 H 2 (g) 2 NH 3 (g) ∆H k 0 0 2(-49,5) kJ 0 -1 S 191,5 3(130,6) 2(193) JK 0 ∆H = [2(-49,5)-0] kJ = -91,8 kJ ∆S0 = [2(193) - (191,5 + 3(130,6))] = -197 JK-1 ∆G0 = ∆H0 - T∆S0 = -91,8 kJ - (298K)(-197 JK-1) = -33,1 kJ 0 Mivel az érték negatív, várható, hogy a reakció spontán végbemegy. - A ∆G k0 = (-33,1)/2 = - 16,6 kJ/mol az ammónia képződési reakciójára. - EGYENSÚLYBAN a ∆G0 = 0 ∆G0 = - RT ln K t = -2,303 RT log K t ahol K t a reakció (termodinamikai)

egyensúlyi állandója - ha K t > 1, log K t > 0 és ∆G0 < 0 (spontán) - ha K t < 1, log K t < 0 és ∆G0 > 0 (nem spontán) Szabad entalpia spontán reakció ∆G0 ∆G egyensúly Reaktánsok Termékek Általános kémia - SPONTÁN REAKCIÓBAN a szabadentalpia a reakció előrehaladtával csökken. Egyensúlyban a szabadentalpiának minimuma van és az egyensúlyi reakcióelegy főleg termékből áll. - A szabadentalpia-változás HŐMÉRSÉKLET-FÜGGÉSE. Számítása körülményes Becsülhető viszont azzal az egyszerű közelítéssel, hogy a ∆H0 és a ∆S0 lényegében nem változik a hőmérséklettel: HA ∆G0 = ∆H0 - T∆S0 - ∆H0 negatív és ∆S0 pozitív, ∆G0 mindig ne gatív, a reakció bármely hőmérsékleten spontán játszódik le. Pl a glükóz bomlása alkohollá: C 6 H 12 O 6 (sz) 2 C 2 H 5 OH(f) + 2 CO 2 (g) a reakció exoterm és nagy molekula kisebbé bomlik (és halmazállapotváltozás is lejátszódik) - ∆H0

pozitív és ∆S0 negatív, ∆G0 mindig pozitív, a reakció spontán nem játszódik le, bármekkora is a hőmérséklet. Pl az ózon molekula képződése: 3 O2 2 O3 a reakció nem megy végbe energiabefektetés nélkül (kényszer reakció, elektromos kisűlés vagy UV fény energiájával) - ∆H0 és a ∆S0 egyaránt negatív, a ∆G0 előjele a másik két tényező viszonylagos nagyságától függ. Pl a karbamid képződése 2 NH 3 (g) + CO 2 (g) NH 2 CONH 2 (aq) + H 2 O Bizonyos hőmérsékleten abszolút értékük azonos, ∆G0 = 0 (egyensúlyi). Ennél kisebb hőmérsékleten a ∆G0 negatív (spontán), ellenkező esetben a ∆G0 pozitív (kényszer reakció). A reakció 25 és 60oC között spontán folyamat. - ∆H0 és a ∆S0 egyaránt pozitív, a ∆G0 előjele a másik két tényező viszonylagos nagyságától függ. Ba(OH) 2 .8H 2 O(sz) + 2 NH 4 SCN(sz) Ba(SCN) 2 (aq) + + 2 NH 3 (g) + 10 H 2 O(f) A reakció endoterm, szobahőfokon spontán folyamat, kisebb

hőmérsékleten nem játszódik le spontán. Általános kémia KÉMIAI EGYENSÚLY VIZES OLDATOKBAN • SAV-BÁZIS ELMÉLETEK - LAVOISIER, 1777, az anyag savasságát az oxigén-ben látta (OXIGÉN görögül savképző) - HUMPREY DAVY, 1809, a HCl sav, tehát nem az O, hanem a H a savak alapvető összetevője - ARRHENIUS, 1884, savak-bázisok vizes oldatban • SAV - vízben növeli a H+(aq) koncentrációt • BÁZIS - vízben növeli az OH-(aq) koncentráci-ót • H+(aq) - hidratált ion, H 3 O+(aq), de lehet H 9 O 4 +(aq) is • A H 2 O csak kis mértékben disszociál H+ és OH- ionokra H 2 O(aq) H+(aq) + OH-(aq) így a savak vagy bázisok vízben ezeknek az ionoknak az egyensúlyi koncentrációját változtatják meg, • SÓ - bármely ionos összetételű anyag, kivéve az oxidot vagy hidroxidot • SAV + BAZIS = SÓ + H 2 O képződés, pl. HCl(aq) + NaOH(aq) NaCl(aq) + H 2 O(f) HCl(aq) + NH 3 (aq) NH 4 Cl(aq) Vizes oldatokban sok só is megváltoztatja az OH-

és H+ ionok koncentrációját (hidrolizáló sók) NH 4 Cl növeli a H+-ion koncentrációt Na 2 CO 3 növeli az OH--ion koncentrációt Ezért a sav és bázis fogalom tágabb értelmezésére lesz szükség, melyben az NH 4 Cl mint SAVAS ANYAG, az Na 2 CO 3 mint BÁZIKUS ANYAG kap jelentést • SAVAK, BÁZISOK ERŐSSÉGE az Arrhenius elméletben ERŐS SAV - ERŐS ELEKTROLIT - teljes a disszociáció HClO 4 (aq) H+(aq) + ClO 4 -(aq) ERŐS BÁZIS szintén - ERŐS ELEKTROLIT - teljes a disszociáció NaOH(sz) Na+(aq) + OH-(aq) Általános kémia A legfontosabb erős bázisok a periódusos rendszer I/A és II/A csoportja elemeinek hidroxidjai . • Az ARRHENIUS elmélet bizonyítéka: erős bá-zis + erős sav közömbösítési reakciók reakció-hői (entalpiaváltozásai) AZONOSAK. pl H+(aq) + ClO 4 -(aq) + Na+(aq) + OH-(aq) Na+(aq) + ClO 4 -(aq) + H 2 O(f ) A "szemlélődő" ionokkal való egyszerűsítés után: H+(aq) + OH-(aq) H 2 O(f ) ∆H = - 55,9

kJ/mol • A VÍZ ÖNDISSZOCIÁCIÓJA Bár "nem elektrolit", a víz öndisszociációja kis mértékben végbemegy H 2 O(f) + H 2 O(f) H 2 O(f) vagy H 3 O+(aq) + OH-(aq) H+(aq) + OH-(aq) A K egyensúlyi állandó igen kicsi: K = [H + ][OH − ] = 1810 , . −16 [H 2O] 25oC-on. A [H 2 O] lényegében állandó = 1000gH 2 O/1 dm3 1mol/18g = 55,6 mol/dm3. K v = K[H 2O] = [H + ][OH − ] = . −14 = 1,0010 is állandó: ez a A VÍZ IONSZORZATA 25oC-on. 35oC-on pl K v =2,510-14 A víz ionszorzatából az egyensúlyi [H+] és [OH-] koncentrációk kiszámíthatók: [H+] = [OH-] = 10-7 mol/dm3. Általános kémia • A PH FOGALMA A H+-ionok kencentrációjával jellemezzük egy oldat savasságát vagy lúgosságát. Alkalmasabb a koncentráció negatív logaritmusát használni SÖRENSEN dán biokémikus (sörfőzés!) pH = - lg [H+] pl. a víz öndisszociációjára alkalmazva: pK v = pH + pOH = 14 = 7 + 7 ebből pH = 7 és pOH = 7 A pH skála: 0 savas [H+] 100

7 lúgos 14 10-7 semleges 10-14 Az ARRHENIUS fogalmak korlátai: hidrolizáló sók, sav-bázis reakciók NEM VIZES közegben, pl HCl(benzol) + NH 3 (benzol) NH 4 Cl(sz) vagy HCl(g) + NH 3 (g) NH 4 Cl(sz) - BRÖNSTEDT Johannes (1879-1947) dán, LOWRY Thomas (1847-1936) angol: az Arrhenius-i sav-bázis reakciók protonátadási reakciók. • SAV - protont adó (donor) • BÁZIS - protont felvevő (akceptor) H 3 O+(aq) + Cl-(aq) + NH 3 (aq) NH 4 +(aq) + Cl-(aq) + H 2 O(f) a szemlélődő ionnal egyszerűsítve: H 3 O+(aq) + NH 3 (aq) sav bázis NH 4 +(aq) + H 2 O(f) sav bázis Általános kémia • Lássuk az ammónia és a víz reakcióját: NH 4 +(aq) + OH-(aq) NH 3 (aq) + H 2 O(f) bázis sav sav bázis Konjugált sav-bázis párok • SAVAK, BÁZISOK RELATÍV ERŐSSÉGE NH 4 +(aq) + OH-(aq) NH 3 (aq) + H 2 O(f) bázis (gyengébb) sav sav bázis (erősebb) az erősebb bázis erősebben köti a protont. HCl(aq) + H 2 O(f) sav (erősebb) bázis

bázis Cl-(aq) + H 3 O+(aq) sav (gyengébb) az erősebb sav könnyebben leadja a protont. Az egyensúly a GYENGÉBB elektrolit irányába tolódik el. • Annak alapján, hogy milyen irányban van eltolódva a reakció, a relatív sav-bázis erősség megítélhető. FORDÍTVA: ha ismerjük egy reakcióban a komponensek relatív sav-bázis erősségét, a reakció haladási iránya megjósolható. • SKÁLÁK: Sav: HClO 4 > H 2 SO 4 > HI >. > NH 4 + > H 2 O > > OHBázis: ClO 4 - < SO 4 2- < I- < < NH 3 < OH- < < O2• MOLEKULASZERKEZET - SAVERŐSSÉG milyen könnyen szakad fel egy H - X kapcsolat, két tényező függvénye: 1. A KÖTÉS POLARITÁSA, az X atom elneg δ+ δH X 2. A H - X KÖTÉS ERŐSSÉGE, az X atom méretének (atomrádiuszának) függvénye Példák: HF < HCl < HBr < HI (X el.neg csökken, de ATOMMÉRETE rohamosan nő) Általános kémia NH 3 < H 2 O < HF (X EL.NEG nő, atommérete kismértékben

csökken) HOCl > HOBr > HOI (H-O-X kapcsolatban az X elektronegativitása nő, polarizálja a H-O kötést) +7 +5 +3 +1 HClO 4 > HClO 3 > HClO 2 > HClO vagy pontosabban HOClO 3 > HOClO 2 > HOClO > HOCl (a nagy oxidációszámú Cl jobban polarizál) H 2 SO 4 > HSO 4 H 3 PO 4 > H 2 PO 4 - > HPO 4 2(a - töltéssel rendelkező anion sav, mert H+-t tud leadni, de - töltése miatt erősebb a H+-ion vonzó képessége) • SÓOLDATOK SAV-BÁZIS SAJÁTSÁGA a Brönstedt-Lowry elmélet magyarázza a HIDROLÍZIS jelenségét. Pl. a sósav semlegesítése ammónia vizes oldatával HCl(aq) + NH 3 (aq) NH 4 +(aq) + Cl-(aq) ekvimoláris HCl és NH 3 reakciója után semkapunk SEMLEGES oldatot, mert NH 4 +(aq) + H 2 O(aq) NH 3 (aq) + H 3 O+(aq) SAVAS a képződött H 3 O+(aq) miatt. Ugyanakkor a Cl-(aq) + H 2 O(aq) HCl(aq) + OH-(aq) reakció nem játszódik le, mivel a HCl erősebb sav, mint a H 2 O, ill. egy erős savnak (HCl) a konjugált bázisa (Cl-)

igen gyenge bázis. egy másik példa: CH 3 COOH(aq) + NaOH(aq) CH 3 COO-(aq) + Na+(aq) + H 2 O(f) Na+(aq) + 2 H 2 O(f) NaOH(aq) + H 3 O+(aq) nem játszódik le, DE CH 3 COO-(aq) + H 2 O(f) CH 3 COOH(aq) + + OH-(aq) Általános kémia reakció lejátszódik és a OH-(aq) miatt a kémhatás LÚGOS. • LEWIS-FÉLE SAV-BÁZIS ELMÉLET - Vannak olyan sav-bázis reakciók, amelyek NEM PROTONCSERÉ-vel járnak (pl. savas és bázikus oxidok reakciója) Na 2 O(sz) + SO 3 (g) Na 2 SO 4 (sz) SAV - elektronpár akceptor BÁZIS - elektronpár donor A reakció lényege: O 2- + SO 3 SO 4 2- - Komplexképző reakciók Lewis-féle sav-bázis reakciók: H+ + NH 3 NH 4 + Fe3+ + 6 CN- [Fe(CN) 6 ]3• SAV-BÁZIS EGYENSÚLYOK • SAVAK disszociációja: H+ + A-) (HA vagy HA(aq) + H 2 O(f) Kd = H 3 O-(aq) + A-(aq) [H 3O + ][A− ] [HA][H 2O] K s = K d [H 2O ] = áll. [H 3O + ][A− ] [HA] 0 < Ks < ∞ - Erős savak esetén a K s nagy, teljes a dissz. c sav = [H 3 O+]

= [A-], a pH a sav koncentrációjából számítható - Gyenge savak: K s kicsi kezdet változás egyens. HA c -x c-x H+ + A0 x x 0 mol/dm3 x mol/dm3 x mol/dm3 Általános kémia 2 [H + ]2 Ks = x = c − x c − [H + ] a pH meghatározható a K s és a c ismeretében. • BÁZISOK disszociációja: NH 3 (aq) + H 2 O(aq) Kd = NH 4 +(aq) + OH-(aq) [NH 4+ ][OH − ] [NH 3 ][H 2O] K b = K d [H 2O ] = áll. [NH 4+ ][OH − ] [NH 3 ] általánosan HB+(aq) + OH-(aq) B(aq) + H 2 O(aq) Kb = [HB+ ][OH − ] [B] • HIDROLÍZIS egyensúlya NH 4 +(aq) + H 2 O(aq) K 'h = NH 3 (aq) + H 3 O+(aq) [NH 3 ][H 3O + ] [NH 4+ ][H 2O] áll. [NH 3 ][H 3O K h = K 'h[H 2O] = [NH 4+ ] +] K h -t nem ismerjük, ez a HIDROLÍZIS ÁLLANDÓ. Ismerjük azonban a K b bázisállandót: [NH 4+ ][OH − ] Kb = [NH 3 ] Szorozzuk meg a K h -t K b -vel: [NH 3 ][H 3O + ] [NH 4+ ][OH − ] = K hK b = [NH 3 ] [NH 4+ ] = [H 3O + ][OH − ] = K v Általános kémia tehát Kh = KvK

b • PUFFEREK a kémhatást állandó szinten tartó vizes oldatok, pl. a vérsavó: pH=7,4 - összetevői: gyenge sav + konjugált bázisa (só) vagy gyenge bázis + konjugált sava (só) - Példák: CH 3 COOH + CH 3 COO- (Na+) NH 3 + NH 4 + (Cl-) H 2 CO 3 + HCO 3 - (Na+) - A puffer működése a H 2 CO 3 + HCO 3 - (Na+) példáján (sav) (só) Na HCO 3 Na+ + HCO 3 c só a hidrolízis HCO 3 - + H 2 O c só H 2 CO 3 + OH- a sav disszociációja H 2 CO 3 H+ + HCO 3 - és a víz autodisszociációja H2O H+ + OH- - A pufferek egyensúlyi számítása: [HCO 3− ][H + ] csó[H + ] Ks = = csav [H 2CO 3 ] ebből a pH [H + ] = K s csav csó Általános kémia • SAV-BÁZIS TITRÁLÁS pl. ecetsav titrálása nátrium hidroxiddal (gyenge sav + erős bázis) pH 7,0 -- erős bázis egyenértékpont= = hidrolizáló só puffer gyenge sav NaOH oldat térfogata - A reakció végpontjelzése (indikátorok) • OLDHATÓSÁG, OLDHATÓSÁGI SZORZAT • KOMPLEX-ION EGYENSÚLYOK

Általános kémia ELEKTROKÉMIAI ALAPFOGALMAK • Alessandro VOLTA, 1800, első galvánelem Zn sós papír Ag . • John Frederick DANIELL, 1836 Zn, Cu, két félcella, sóhíd Zn(sz) + Cu2+(aq) Zn2+(aq) + Cu(sz) • ELEKTROKÉMIAI CELLÁK - redoxi reakciók: redukció és oxidáció időben egyszerre, térben elkülönítve, elektronáramlás. - SPONTÁN reakcióban elektromos áram (munka), kémiai energia elektromos energia - KÉNYSZER reakcióban (elektrolízis): elektromos energia kémiai energia - ELSŐFAJÚ ELEKTRÓD: fém saját ionjának oldatába merül: M(sz) M+(aq) + e- • GALVÁNELEM (= két félcella), pl. Daniell-elem: eZn anód sóhíd Zn2+ Cu ⊕ katód Cu2+ Zn(sz) Zn2+(aq) + 2 e- anód: oxidáció Cu2+(aq) + 2 e- Cu(sz) katód: redukció összegezve a két félreakciót: Zn(sz) + Cu2+(aq) Zn2+(aq) + Cu(sz) A teljes galvánelem reakció a két félreakció összege - A galvánelem LEÍRÁSA: pl. a Daniell elem egyszerű formában

Általános kémia Zn(sz) | Zn2+(aq) || Cu2+(aq) | Cu(sz) anód fázishatár A-elektr. sóhíd katód fázishatár K-elektr. További példák: Zn(sz) + 2 Fe3+(aq) Zn2+(aq) + 2 Fe2+(aq) galvánelem leírása: Zn(sz) | Zn2+(aq) || Fe3+(aq), Fe2+(aq) | Pt és Zn(sz) + 2H+(aq) Zn2+(aq) + H 2 (g) Zn elektród normál H-elektróddal szemben: Zn(sz) | Zn2+(1,0 M) || H+(1,0 M) | H 2 (1,0 atm) | Pt ahol 2H+(aq) + 2 e- H 2 (g) + azaz H (aq) | H 2 (g) | Pt a hidrogén-elektród - A spontán reakció elektromos munkát termel (az égő ég). Ha az égő helyett áramforrást teszünk, a folyamat megfordul (ELEKTROLÍZIS): Zn2+(aq) + 2 e- Zn(sz) Cu(sz) Cu2+(aq) + 2 eZn2+(aq) + Cu(sz) Zn(sz) + Cu2+(aq) NEM SPONTÁN ! - A spontán reakció akkor is lezajlik, ha Zn lemezt merítünk Cu2+ ion oldatába fem Cu válik ki a Zn le-mezen, miközben Zn2+ ionok mennek az oldatba: (CEMENTÁLÓDÁS) Általános kémia • ELEKTROLIZÁLÓ CELLA katód ⊕ Cu Ag anód Cu(NO 3 ) 2

←Cu2+ Cu2+ + 2e- Cu Ag+← Ag Ag+ + e- • PÉLDÁK kereskedelmi galvánelemekre - LECHLANCHÉ-féle szárazelem A: K: Zn(sz) Zn2+(aq) + 2 e2 MnO 2 (sz) + 2 NH 4 +(aq) + 2e- Mn 2 O 3 (sz) + H 2 O(f) + NH 3 (g) A szárazelem elektródpotenciál-különbsége: 1,5 V (kezdetben), idővel csökken, kimerül az elem, amikor a Zn anód elfogy. EGYENSÚLY! (a cella nem tölthető) - LÚGOS ELEM: NH 4 Cl helyett KOH - ÓLOM AKKUMULÁTOR: akkumulátorok tölthetők A: Pb(sz) + HSO 4 -(aq) PbSO 4 (sz) + H+(aq) + 2eK: PbO 2 (sz) + 3 H+(aq) + HSO4-(aq) + 2e- PbSO 4 (sz) + 2 H 2 O(f) Σ: Pb(sz) + PbO 2 (sz) + 2 H 2 SO 4 (aq) PbSO 4 (sz) + 2 H 2 O(f) kisütés, ← feltöltés A cella kb. 2 V feszültséget ad le -TÜZELŐANYAG CELLA (lényegében akkumulátor) A reagensekről folyamatosan gondoskodunk: Általános kémia K: O 2 (g) + 2 H 2 O(f) + 4 e- 4 OH-(aq) A: H 2 (g) + 4 OH-(aq) 4 H 2 O(f) + 4 eΣ: 2 H 2 (g) + O 2 (g) 2 H 2 O(f) O2 H2 Magas hőmérséklet

2-300oC ← OH50% KOH (Apolló űrhajó) - A VAS ROZSDÁSODÁSA spontán galvánreakció vízcsepp Katód Vas O2 OH- Fe2+ OH- O2 Rozsda a vízcsepp szélén a levegő oxigénje (K) K: O 2 (g) + 2 H 2 O(f) + 4 e- 4 OH-(aq) a vízcsepp közepén a vas (A) A: Fe(sz) Fe2+(aq) + 2 e- A cella "pólusai" között a vas mint "külső áramkör" funkcionál. Az Fe2+ ionok és az OH- ionok a vízcseppben vas(II)-hidroxiddá reagálnak: Fe2+(aq) + 2 OH-(aq) Fe(OH) 2 (sz) 4 Fe(OH) 2 (sz) + O 2 (g) 2 Fe 2 O 3 .H 2 O(sz) + 2 H 2 O(f) - KATÓDOS VÉDELEM: a védendő fémet összekötjük egy aktív (elektropozitívabb) fémmel, ez lesz az anód, pl. a Általános kémia A: Mg(sz) Mg2+(aq) + 2 eK: O 2 (g) + 2 H 2 O(f) + 4 e- 4 OH-(aq) Miközben a Mg fémdarab fokozatosan elfogy az anód-reakcióban, a védendő vascsövet az oxidációtól megvédi (lásd katódreakciót) • AZ ELEKTROMOTOROS ERŐ (EME): - Munka (energia) kell ahhoz, hogy az elektron, vagy

a töltött részecske az elektromos térben elmozduljon. E MUNKA ARÁNYOS A KÉT PONT POTENCIÁLKÜLÖNBSÉGÉVEL: El. munka = töltés potkülönbség W = F . ∆E Joule = Coulomb . Volt ahol F = a Faraday állandó, 1 mólnyi elektron töltésmennyisége: 1 F = 96500 C = 96500 As = 26,8 Ah - A maximális munka egy elem két elektródja között az EME, a két elektród POTENCIÁLKÜLÖNBSÉGE ennél mindig kisebb (elektromos veszteségek): W max = n . F EME > E K - E A - Az EME mérése a rendszer VESZTESÉGMENTES (árammentes) állapotában: V-ra kalibrált ellenállás o kapcsoló o csúszókontaktus galvanométer o o o cella • ELEKTRÓDPOTENCIÁLOK EME = E katód - E anód E anód < E katód Általános kémia - Az elektron a kisebb potenciálú helytől a nagyobb felé áramlanak, a katód a pozitív, az anód a negatív polaritású, az EME > 0 (pozitív érték) - Az elektódpotenciált KÖZVETLENÜL NEM TUDJUK MÉRNI, csak másik elektróddal

összehasonlítva: ilyen lehet pl. a STANDARD HIDROGÉN-ELEKTRÓD (E0 = 0 V, 25oC, 1 atm H 2 , 1,0 M H+): H+(1,0 M) | H 2 (1,0 atm) | Pt , E0 = 0 V - STANDARD ELEKTRÓDPOTENCIÁLOK (táblázatokban) vizes oldatban 25oC-on redukciós reakciókra. Ezekből bármely elem EME-je kiszámítható Pl Ni2+(aq) | Ni(sz) , E0 = - 0,23 V 2+ és Cu (aq) | Cu(sz) , E0 = 0,34 V a Ni lesz az anód 2+ a cella: Ni (aq) | Ni(sz) || Cu2+(aq) | Cu(sz) és az EME: EME = E0 Ni - E0 Cu = 0,34 - (-0,23) = 0,57 V - Egyéb összehasonlító vagy REFERENCIA ELEKTRÓD a MÁSODFAJÚ ELEKTRÓD: valamely fém saját rosszul oldódó sójának telített oldatába merül (potenciálja állandó). Pl Ag(sz) | AgCl(sz) | KCl , ezüst el. vagy Hg(f) | Hg 2 Cl 2 (sz) | KCl , kalomel el. • OXIDÁLÓ ERŐSSÉG, REDUKÁLÓ ERŐSSÉG. Az EME értékekből eldönthető, hogy a) valamely oxidáció, redukciós folyamat SPONTÁN-e b) mekkora egy bizonyos anyag OXIDÁLÓ vagy REDUKÁLÓ erőssége. Zn2+(aq) + 2

Fe2+(aq) Zn(sz) + 2 Fe3+(aq) reakció pl. SPONTÁN-e? A reakció bal oldalán a Zn2+, jobb oldalán az Fe3+ az OXIDÁLÓSZER a redukciós részreakciók és az E0-k: Zn2+(aq) + 2 e- Zn(sz) E0 = - 0,76 V Általános kémia Fe3+(aq) + e- Fe2+(aq) E0 = 0,70 V az elektródpotenciál a 2. félreakcióban nagyobb, azaz az Fe(III) erősebb oxidálószer, mint a Zn(II), vagy a Zn erősebb redukálószer, mint a Fe(II) A reakció NEM JÁTSZÓDIK LE SPONTÁN: Zn2+(aq) + 2 e2 Fe2+(aq) Zn(sz) E0 = - 0,76 V 2 Fe3+(aq) + 2 e- E0 = 2(-0,70) V Zn2+(aq) + 2 Fe2+(aq) Zn(sz) + 2 Fe3+(aq) E0 = - 0,76 + 2(- 0,70) = - 2,16 V Szabály: végbe ha E0 > 0, a reakció spontán megy végbe ha E0 < 0, a reakció csak külső kényszer hatására megy - Ebből következik, hogy a nagyobb standard elektród-potenciálú anyag erősebb oxidálószer, vagy a kisebb standard elektródpotenciálú anyag erősebb redukálószer. - Az erősebb redukálószer (a kisebb standard

elektród-potenciálú anyag) a gyengébbet (a nagyobb standard elektródpotenciálú anyagot) kiredukálja oldatából. - További példák: fémek oldódása savakban, cementálódási reakciók. • AZ EGYENSÚLYI ÁLLANDÓ ÉS AZ EME - Az a galvánelem, amely még nem érte el a kémiai egyensúlyt, elektromos munkavégzésre képes (elektronáram, pot.különbség az elektródok között) - Nagy ∆E vagy cellapotenciál esetén nagy a munkavégző képesség, egyensúlyi cellában ∆E = 0, nulla a munkavégző képesség. - Egy rendszer által végezhető max. munkát a ∆G szabadentalpia-változás adja - Spontán folyamatban a ∆G és W negatív: W max = - ∆G (áll. nyomáson és hőmérsékleten) Mivel az elektromos munka: W = n F E (n a cellán áthaladó elektronok mólszáma, F a Faraday állandó) ∆G = - n F E Standard körülmények között: ∆G0 = - n F E0 Vonjuk ki az előbbi egyenletet az utóbbiból: n F (E0 - E) = ∆G0 - ∆G amiből E = E0 + (∆G0 -

∆G)/(n F) Általános kémia Figyelembe véve, hogy ∆G = ∆G0 + RT/ln(Q), adódik, hogy E = E0 − RT ln(Q) nF Ez az u.n NERNST-EGYENLET Áttérve 10-es alapú logaritmusra (lg) E = E0 − 2,303. RT lg(Q) nF Az egyenlet azt mutatja meg, hogy egy cella feszültsége milyen mértékben függ a STANDARD EL.POTENCIÁLtól és az ionok KONCENTRÁCIÓjától - A Q határozza meg a cella (az elektród) típusát. • ha a Q adott ion koncentrációja, koncentrációs elemről van szó (pl. üvegelektród pH meghatározásra, ionszelektív membránelektródok) • ha a Q=[ox]/[red], redoxelektródról van szó • ELEKTROLIZÁLÓ CELLÁK, ELEKTROLÍZIS Na(sz) + 1/2 Cl 2 (g) NaCl(sz) - spontán reakció. A reakció fordítottja CSAK külső kényszer hatására játszódik le, pl. NaCl elektrolízisével vizes oldatban vagy OLVADÉKban - NaCl elektrolízise VIZES OLDAT-ban: versengő reakciók Katódon: Na+(aq) + e- Na(sz) 2 H 2 O(f) + 2 e- H 2 (g) + 2 OH-(aq) Anódon: 2

Cl-(aq) Cl 2 (g) + 2 e2 H 2 O(f) O 2 (g) + 4 H+(aq) +4 e- - A katódon a gázfejlődés (H 2 ) azt mutatja, inkább VÍZBONTÁS megy végbe - Az anódon: a folyamat az oldat koncentrációjától függ: híg oldat O 2 , tömény oldat Cl 2 fejlődik - Az a reakció játszódik le inkább, amelynek LEGKI-SEBB A BOMLÁSFESZÜLTSÉGE (= az adott elektródreakciópár elektrolíziséhez szükséges pot. különbség) Általános kémia - Híg oldat esetén kedvezőbb a H 2 O bomlása: K: 4 H 2 O(f) + 4 e- 2 H 2 (g) + 4 OH-(aq) A: 2 H 2 O(f) O 2 (g) + 4 H+(aq) + 4 eΣ: 6 H 2 O(f) 2 H 2 (g) + O 2 (g) + + [4 H+(aq) + 4 OH-(aq)] = 4 H 2 O(f) 2 H 2 O(f) 2 H 2 (g) + O 2 (g) - A bomlási feszültség részben a félreakciók el.potenciálja közti különbségtől függ. A víz elektrolízisekor a fordított félreakciók (pH=7 esetén): H 2 (g) + 2 OH-(aq) 2 H 2 O(f) + 2 e-, E = - 0,41V + - O 2 (g) + 4 H (aq) + 4 e 2 H 2 O(f) , és E = 0,82V - A potenciálkülönbség: ∆E

= 0,82 - (- 0,41) = 1,23 V. Ahhoz hogy a vizet elektrolizáljuk, a cellafeszültségnek ennél nagyobbnak kell lenni Ezt nevezzük: - TÚLFESZÜLTSÉGnek, ami ahhoz kell, hogy az elektronok a fázishatáron átjussanak. Függ: az elektrolizáló áram erősségétől, az elektród anyagától (fémek leválásánál ez kicsi, gázfejlődésnél nagyobb 1,23 V-nál) - NaCl vizes oldatának elektrolízisekor azt várjuk, hogy a katódon az a reakció játszódik le, melynek el.potenciálja kisebb negatív érték (tehát nagyobb) 1 M Na+ oldatban: Na+(aq) + e- Na(sz) E0 = - 2,71 V 2 H 2 O(f) + 2 e- H 2 (g) + 2 OH-(aq) E0 = - 0,41 V (pH=7) A vízbontás katódos félreakciója (redukciója) kevésbé negatív potenciálú, ez megy végbe. A potkül akkora, hogy fedezni tudja a H 2 (g) leválás túlfeszültségét - A lehetséges anód félreakciók 1 M NaCl oldatban: 2 H 2 O(f) O 2 (g) + 4 H+(aq) + 4 e2 Cl-(aq) Cl 2 (g) + 2 e- (pH=7) E0 = 0,82 V (1 M Cl-) E0 = 1,36 V Mivel a víz

könnyebben oxidálódik, azt várnánk, hogy az anódon O 2 fejlődik. Az O 2 leválása azonban jelentős túlfeszültséget igényel. Az O 2 leválás alig, a Cl 2 leválás azonban jelentős koncentrációfüggést mutat. Általános kémia Ebből: kis Cl- ion konc. esetén: O 2 gáz fejlődik, nagy Cl- ion konc. esetén: Cl 2 gázfejlődik - NaCl elektrolízise OLVADÉKban. • FARADAY TÖRVÉNY, 1831, elektrolízis sztöchiometriája. Általános kémia A REAKCIÓK SEBESSÉGE, REAKCIÓKINETIKA - Egy reakció lejátszódásához szükséges IDŐ rendkívül különböző lehet: pl. Ba2+ + SO 4 2- BaSO 4 gyors, pillanatszerű, de a beton szilárdulása lassú, éveket vehet igénybe. - A reakciók sebességének vizsgálta FONTOS: a) ipari, gazdaságossági szempontból, b) környezetvédelmi szempontból, c) A REAKCIÓK MECHANIZMUSA szempontjából (hogyan játszódik le egy reakció?) - A reakció sebességét meghatározó TÉNYEZŐK: • REAKTÁNSOK

KONCENTRÁCIÓJA (a fémforgács égése levegőben vagy oxigénben) • A REAKCIÓ HŐMÉRSÉKLETE (rendszerint fel-gyorsítja a reakciót) • A KATALIZÁTOR KONCENTRÁCIÓJA (a H 2 O 2 bomlása vízzé és oxigénné, a HBr katalizálja) • A SZILÁRD REAKTÁNS v. KATALIZÁTOR FE-LÜLETE (minél nagyobb a felület, annál gyorsabb a reakció: pirofóros fémek) - A REAKCIÓSEBESSÉG DEFINÍCIÓJA • Egységnyi idő alatt átalakult reaktáns vagy termék mennyiség • Mivel a reakciósebesség nem függ a reakcióelegy teljes mennyiségétől, célszerű azt egységnyi térfogatra vonatkoztatni: A REAKCIÓSEBESSÉG A TERMÉK v .REAKTÁNS MÓL-KONCENTRÁCIÓJÁNAK IDŐEGYSÉG ALATT BEKÖVETKEZŐ VÁLTOZÁSA, NÖVEKEDÉSE (termék), CSÖKKENÉSE (reaktáns). • Mértékegysége: mol.dm-3s-1 Pl 2 N 2 O 5 (g) 4 NO 2 (g) + O 2 (g) Az O 2 képződési sebesség = ∆[O 2 ] ∆t Az N 2 O 5 bomlás sebessége = − 1 ∆[N 2O 5 ] ∆t 2 A ∆t időtartamra vonatkozó átlagos

sebességet kapjuk Általános kémia [O 2 ] [mol/dm3] ∆t ∆[O 2 ] ∆[O 2 ] ∆t a sebesség a reakció előrehaladásával csökken t [s] A reakció sebessége tehát: ∆[O 2 ] = 1 ∆[N 2O 5 ] − ∆t ∆t 2 - A REAKCIÓSEBESSÉG KÍSÉRLETI MEGHATÁROZÁSA • A reaktánsok vagy a termékek koncentrációjának mérése az idő függvényében (LASSÚ REAKCIÓK), pl. az etilacetát hidrolízise, a keletkezett ecetsav mennyiségének mérése • Alkalmasabb a reakció folyamán egy jellemző fizikai sajátság mérése, pl. a fejlődő GÁZ mennyiségének mérése (gázvolumetriásan) COCl 2 (g) CO(g) + Cl 2 (g) Színes reaktáns vagy termék SZÍNVÁLTOZÁSának mérése (fotometriásan) ClO-(aq) + I-(aq) IO-(aq) + Cl-(aq) A hipojodid ion a kék színű fényt (400 nm) jól abszorbeálja, a fény intenzitásváltozása arányos a hipojodid ion koncentrációjának változásával. - A REAKCIÓSEBESSÉG KONCENTRÁCIÓFÜGGÉSE • A SEBESSÉGI EGYENLET írja

le. Pl Általános kémia C aA + bB dD + eE általános reakcióegyenlet (C a katalizátor) sebességi egyenlete: Sebesség = k [A]q [B]r [C]s ahol q, r, s kitevők (gyakran egész számok) kísérletileg meghatározandók. Jelentik a reakció rendűségét az adott komponensre, összegük a reakció bruttó rendűsége. A k a reakció sebességi állandója. • A REAKCIÓ RENDŰSÉGE (példák) C 3 H 6 (g) CH 2 CHCH 3 (g) ciklo-propán propilén Sebesség = k [C 3 H 6 ] izomerizáció elsőrendű NO(g) + 2 H 2 (g) N 2 (g) + 2 H 2 O(g) Sebesség = k [NO]2[H 2 ] az NO-ra másodrendű, a H 2 -re elsőrendű, a bruttó reakciórend 3. CH 3 COCH 3 (aq) + I 2 (aq) H+ CH 3 COCH 2 I(aq) + HI (aq) Sebesség = k [CH 3 COCH 3 ][ H+][I 2 ]0 a reakció az acetonra elsőrendű, a jódra nézve nulladrendű (nem függ a jódtól), a H+ katalizá-torra nézve elsőrendű, a bruttó rendűség 2. • A SEBESSÉGI EGYENLET MEGHATÁROZÁSA 2 N 2 O 5 (g) 4 NO 2 (g) + O 2 (g) a)

kezdeti sebesség módszer b) grafikus módszer Általános kémia - KEZDETI SEBESSÉG MÓDSZER • Két reakciót végzünk el, a 2.-ban az N 2 O 5 kezdeti koncentrációja éppen 2x akkora, mint az 1.-ben • Kezdeti sebességen értjük a t=0 időpontban az átalakulási (konverzió) görbéhez húzott érintő egyenes iránytangensét • A meghatározandó reakciórend az N 2 O 5 -re legyen m. (Seb) 1 = k[N 2 O 5 ]m 1. kisérlet (Seb) 2 = k(2[N 2 O 5 ])m) = 2. kisérlet = 2m k[N 2 O 5 ]m = 2m (Seb) 1 a két kezdeti sebesség egymásnak 2m-szerese. Ha a (Seb) 2 éppen kétszerese a (Seb) 1 -nek, akkor a 2 = 2m -ből m = 1, tehát a reakció az N 2 O 5 -re elsőrendű. A sebességi egyenlet tehát az N 2 O 5 -re: ∆[N 2O 5 ] = k[N 2O 5 ] ∆t Seb. = − Kimutatható, hogy 1-rendű reakciókra a KONCENTRÁCIÓ IDŐBELI VÁLTOZÁSÁT az alábbi egyenlet írja le: log [N 2O 5 ]0 = kt [N 2O 5 ]t 2,303 - A GRAFIKUS MÓDSZER a sebbeségi egyenlet időfüggését használja

fel. - Tekintsünk egy 1-rendű általános reakciót: a A termékek Seb. = − ∆[A] = k[A]1 a seb.egy ∆t − d[A] k[A]1 amikor ∆t 0 = dt − d[A] = k dt [A] átrendezés után Általános kémia [ A]t ∫ − d[A] = k t dt ∫ [A] [ A]0 0 integráljunk 0 és t időintervallumban: −(ln[A]t − ln[A]0 ) = k(t − 0) ln = 2,303.lg behelyettesítésével: lg [A]0 = kt [A]t 2,303 az egyenlet más alakban: lg[A]0 − lg[A]t = majd kt 2,303 lg[A]t = ( −k )t + lg[A]0 2,303 melynek formája megegyezik egy líneáris egyenletével: y = ax + b - Ha tehát az átalakulási görbét úgy rajzoljuk, hogy az IDŐ FÜGGVÉNYÉBEN A KONCENTRÁCIÓ LOGARITMUSÁT ábrázoljuk és EGYENEST kapunk, a reakció az adott komponensre nézve ELSŐRENDŰ. [N 2 O 5 ] lg[N 2 O 5 ] t(s) t(s) -Tekintsünk egy 2-rendű reakciót, ennek sebességi egyenlete: − ∆[A] = k[A]2 ∆t átalakítás után: − d[A] = k[A]2 dt és − d[A] = kdt [A]2 Általános kémia [

A]t ∫ integrálás után: − d[A] = k t dt ∫ 2 [A] [ A]0 0 melynek eredménye: 1 − 1 = kt [A]t [A]0 vagy más alakban: 1 = kt + 1 [A]t [A]0 ennek formája is megegyezik egy líneáris egyenletével: y = ax + b - Ha tehát egy átalakulási görbét úgy rajzolunk, hogy az IDŐ FÜGGVÉNYÉBEN A KONCENTRÁCIÓ RECIPROKÁT ábrázoljuk és EGYENEST kapunk, a reakció az adott komponensre nézve MÁSODRENDŰ. Erre egy példa: 2 NO 2 (g) 2 NO(g) + O 2 (g) − ∆[NO 2 ] = k[NO 2 ]2 ∆t [NO 2 ] 1/[NO 2 ] t(s) t(s) - FELEZÉSI IDŐ fogalmán értjük azt az időt (t 1/2 ), amely alatt a reaktáns koncentrációja a kezdeti érték felére csökken. • 1-rendű reakció esetén: lg [A]0 = kt [A]t 2,303 egyenletben [A] t = [A] 0 /2 behelyettesítésével: lg [A]0 = kt 1/2 [A]0 / 2 2,303 egyszerűsítés után: Általános kémia lg2 = kt 1/2 = 0,301 2,303 melyből t 1/2 = 0,301.2,303 0,693 = k k a felezési idő NEM FÜGG a kezdeti koncentrációtól.

• 2-rendű reakció esetén: 1 = kt + 1 egyenletben [A]t [A]0 [A] t = [A] 0 /2 behelyettesítésével: 1 = kt 1/2 + 1 [A]0 / 2 [A]0 összevonás után 1 = kt 1/2 [A]0 melyből t 1/2 = 1 k[A]0 a felezési idő FÜGG a kezdeti koncentrációtól. - A HŐMÉRSÉKLET ÉS A SEBESSÉG • A reakciósebesség függ a hőmérséklettől, ami a k sebességi állandóban fogalmazódik meg. Pl NO(g) + Cl 2 (g) NOCl(g) + Cl(g) k(25oC) = 4,9.10-6 1/Ms k(35oC) = 1,5.10-6 1/Ms A hőmérsékletfüggés a reakciósebesség egyszerű elméleti értelmezésével magyarázható. • ÜTKÖZÉSI ELMÉLET - a reaktáns molekuláknak ütközni kell ahhoz, hogy a reakció lejátszódjon (z) - az E a aktiválási energiánál nagyobb energiával kell rendelkezniük (f) - a molekuláknak megfelelő irányban kell ütközniük (p) k=pfz ahol z az ütközés frekvenciája, f az E a aktiválási energiánál nagyobb energiájú ütközések hányada és p a megfelelő irányultságú molekulákkal

lejátszódó ütközések hányada. Általános kémia - z hőfokfüggése kismértékű (kin.energia, seb), - f erősen hőfokfüggő: lgf = Ea 2,303. RT vagy f = e −E a /RT - minél nagyobb az E a , annál kisebb az f. TEHÁT NAGY E a -JÚ REAKCIÓKNAK KIS SEBESSÉGI ÁLLANDÓJUK VAN, és fordítva KIS E a -JÚ REAKCIÓKNAK NAGY SEBESSÉGI ÁLLANDÓJUK VAN - a p tényező nem függ a hőmérséklettől. • ÁTMENETI ÁLLAPOT ELMÉLET, pl. O = N + Cl - Cl O = N . Cl Cl - Ha megfelelő irányultságú molekulák ütköznek, átmeneti aktivált komplex jön létre. Az ütközés energiája az atomok rezgő mozgásában felemész-tődik Attól függően, hogy az aktivált komplexben mely kötés szakad fel (N . Cl, vagy Cl Cl), az eredeti reaktánsokat, vagy a terméket kapjuk: O=N + Cl - Cl ← O = N . Cl Cl O=N - Cl + Cl reaktánsok aktivált komplex termékek - Az E a -nál nagyobb energiájú molekulák ütközése kell ahhoz, hogy TERMÉK

képződjön. • REAKCIÓK POTENCIÁLIS ENERGIÁJA aktivált komplex NOCl 2 * E E a =85 kJ (előre) NO + Cl 2 (reaktánsok) E a = 2 kJ (vissza) NOCl + Cl (termékek) ∆H= 83 kJ ENDOTERM reakció iránya Általános kémia - A reakció E a aktiválási energiája VISSZAFELÉ kisebb (2 kJ), tehát a VISSZAREAKCIÓ SEBESSÉGI ÁLLANDÓJA NAGYOBB. - Hasonló, fordított lefutású potenciális energia görbe rajzolható és értelmezhető az EXOTERM reakciókra. - AZ ARRHENIUS EGYENLET lgk = lgA − Ea 2,303. RT ahol A a frekvencia tényező. Az egyenlet línearizált alakban: lgk = lgA + ( −E a )( 1 ) 2,303. R T y = b + a.x Ha a lg k-t az 1/T függvényében ábrázoljuk, az egyenes meredeksége az E a /2,303.R, melyből a reakció aktiválási energiája számítható - REAKCIÓMECHANIZMUSOK • ELEMI REAKCIÓK, amelyek egy lépésben játszódnak le. Pl NO 2 (g) + CO(g) NO(g) + CO 2 (g) nettó reakció NO 2 + NO 2 NO 3 + NO elemi reakció NO 3 + CO NO 2 + CO 2 elemi

reakció - Az NO 3 intermedier (közbülső) termék - Elemi reakció csoportosítható az ütköző molekulák száma szerint: - egymolekulás: O 3 * O 2 + O - kétmolekulás: NO 2 + NO 2 NO 3 + NO - hárommolekulás: Br + Br + Ar Br 2 + Ar* - Elemi reakciók sebességi egyenletében a rendűség és a reakció sztöchiometriai együtthatói megegyeznek - REAKCIÓMECHANIZMUS ÉS SEBESSÉGI EGYENLET az N 2 O 5 bomlása példáján: - Ismerjük a nettó egyenletet: 2 N 2 O 5 (g) 4 NO 2 (g) + O 2 (g) - Hipotézisünk a lejátszódó részfolyamatokról (mechanizmus hipotézis) Általános kémia k1 2 N2O5 NO 2 + NO 3 (gyors) k -1 k2 NO 2 + NO 3  NO + NO 2 + O 2 (lassú) 3 2 NO NO 3 + NO k 2 (gyors) - A kísérleti sebességi egyenlet: − ∆[N 2O 5 ] = k[N 2O 5 ] ∆t - Bizonyítsuk be, hogy a mechanizmus hipotézisünk összhangban van a kísérleti sebességi egyenlettel. - A 2. lépés a lassú reakció, a sebességmeghatározó: seb. = k2 [NO 2 ][NO 3

] - Ez tartalmazza az NO 3 intermediert. Ezért viszgálni kell az 1 disszociációs reakciót: dissz.seb = k1 [N 2 O 5 ] rekomb.seb = k -1 [NO 2 ][NO 3 ] - Az egyensúlyban dinamikus az egyensúly: seb 1 =seb 2 k1 [N 2 O 5 ] = k -1 [NO 2 ][NO 3 ] átrendezve k 1 = [NO 2 ][NO 3 ] = K 1 k −1 [N 2O 5 ] az egyensúlyi állandó. Ebből: k [N O ] [N O ] 2 5 =K 2 5 k = [NO ] = 1 3 1 [NO ] k [NO ] −1 2 2 Helyettesítsük be a sebességi egyenletbe: Seb. = k 2[NO 2 ][NO 3 ] = k 2[NO 2 ]K = k 2 .K 1[N 2O 5 ] = k[N 2O 5 ] ahol k = k2 K 1 Általános kémia - KATALÍZIS Általános kémia AZ ATOMOK SZERKEZETE, AZ ATOMMAG ÉS AZ ELEKTRONOK, A BOHRFÉLE HIDROGÉNATOM-MODELL • KÍSÉRLETEK A SZÁZADFORDULÓN THOMPSON: a katódsugarak negatív töltésű részecskék, az elektronok (katódsugár elhajlása elektromosan töltött lemezek között) MILLIKAN (1910): az elektron felfedezése, jellemzése e= 4,8.10-10 elsztat egység= 1,60210-19Coulomb m e = m H /1836 BECQUEREL

(1896): urán és vegyületei a fényérzékeny lemezt megfeketítik (sötét papírba csomagolva), az atommag is bomlik: α-, β- és γ-sugárzás Az atom NEM OSZTHATALAN, ú.n SZUBATOMOS RÉSZECSKÉKből áll • AZ ATOMMAG: - Pozitív töltésű protonok+ semleges töltésű neutronok. - A proton tömege (atomtömeg egységben): 1,67.10-24 gram - Az elektron tömege a protonéhoz képest elhanyagolható. - A neutron tömege (atomtömeg egységben) közel azonos a protonéval: 1,675.10-24 gram - A protonszám (Z) megadja a rendszámot - A protonok (Z) és a neutronok (N) száma együtt a tömegszámot adja meg (A) - Azonos protonszámú (különböző neutronszámú) atomokat IZOTÓP-oknak nevezzük (rendszámuk azonos, így kémiai tulajdonságaik is azok) - Azonos neutronszámú (különböző protonszámú) atomokat IZOTON-oknak nevezzük - Azonos tömegszámú (kölönböző proton és neutronszámú) atomokat IZOBÁRoknak nevezzük Izotóp Rendszám (Z) megegyező

Tömeg-szám (A=Z+N) különböző Neutronok száma (N) különböző Példa Izobár különböző megegyező különböző 3 3 1 H 2 He Izoton különböző különböző megegyező 2 3 1 H 2 He 31 32 15 P 15 P - Az atommagok stabilitása: a természetben előforduló atomok atommagjai általában sokkal stabilisabbak, mint az elektronhéjaik, közönséges kémiai reakciók energetikai viszonyai alatt az atommagok átalakulása nem következik be. A mes-terségesen előállított atommagok kivétel nélkül bomlékonyak (RADIOAKTIVI-TÁS). - Az izotópok bomlásának módja attól függ, hogy az atom-mag összetétele mennyiben tér el egy bizonyos optimális proton-neutron aránytól. Ha az atommagban ez az arány az optimálisnál lényegesen nagyobb (pl. 3H, 14C, 40K), akkor ez oly módon stabilizálódik, hogy egy neutron - elektron leadása közben Általános kémia (β - vagy elektronsugárzással sugázással) - protonná alakul (az atom rendszáma

változatlan tö-megszám mellett egy egységgel nő). A természetben előforduló radioaktív izotópok Rendszám 1 6 19 37 71 75 82 83 84 85 86 87 88 89 90 Név Jel Tricium Szén Kálium Rubídium Lutécium Rénium Ólom Bizmut Polónium Asztácium Radon Francium Rádium Aktínium Tórium H (T) C K Rb Lu Re Pb Bi Po At Rn Fr Ra Ac Th 91 92 Protaktínium Urán Pa U 94 Plutónium Pu neutronok száma (N) %-os gyakor. 10-10 10-10 0,0119 27,80 2,60 62,93 <0,009 <0,002 100 0,006 0,720 99,274 tömegszám (A) A β+ N+1 β- A-4 α N-2 Z-2 Z-1 Felezési idő (év) 12,5 5600 109 6. 10-10 10-10 4.10-12 19,4 5 nap 138 n 8,3 óra 3,82 n 22 perc 1620 év 22 1,91 10-10 34000 2.10-9 7,1.10-8 4,5.10-9 24300 Bomlás módja βββ -,K,γ β -,γ β -,K,γ ββ -,γ β -,α α,γ K, α,γ α β -,γ,α α,γ β -,α α α,γ α,γ α,γ α,γ α,γ α,γ Soddy-Fajans-féle eltolódási szabály K,L N N-1 Tömegszám 3 14 40 87 176 187 210 210 210 210 222 223 226 227 228

232 231 234 235 238 239 Z Z+1 protonok száma, rendszám (Z) Általános kémia -Azok az atommagok, amelyekben a neutronok száma a protonokéhoz képest kicsi, egy protonnak pozitron (β +) leadása közben neutonná történő átalakulása révén stabilizálódnak. (tömegszám változatlan, rendszám egy egységgel kisebb) - A nagyobb rendszámú labilis izotópok stabilizálódásának gyakori módja, hogy az atommagból négy nukleon: két pro-ton és két neutron (α2+ - sugárzás) azaz hélium-atommag távozik (a rendszám 2-vel, a tömegszám 4-el csökken). -Az α2+ és β - - sugárzást rendszerint még γ-sugárzás is kíséri. Mattauch-szabály: páros rendszámú elemeknek több stabilis izotópja van, mint a páratlan rendszámúaknak. (A legstabilisabb atommagokban a protonok és neutronok száma egyaránt páros). A legkisebb stabilitásúak a páratlan protont és páratlan neutront tartalmazó atommagok. RUTHERFORD(1911): α-sugár szórási kísérlet: a

sugár kis része fémfólián keresztül nagy szögben, nagyobb része kis szögben szóródik: az atom nagyon "üres tér", az atom tömegének több mint 99,95%-át az atommag teszi ki, az atom térfogatának csak nagyon kis hányadát foglalja el. • AZ ATOMELMÉLET FEJLŐDÉSE DEMOKRITOSZ: az atom fogalma (3000 éves) DALTON (1804): elem - atom, vegyület - molekula atomsúly molekulasúly RUTHERFORD-FÉLE ELEKTROSZTATIKUS MODELL: + töltésű mag (Z = rendszám), - töltésű elektronok, ELEKTROSZTATIKUS VONZÁS ↔ CENTRIFUGÁLIS ERŐ: elektronok bolygószerű pályán. Ellentmondás: körmozgás - gyorsuló mozgás - energia-vesztés - el.mágneses kisugárzás - elektron pályasugár csökken - elektron a magba zuhan. Valóság: az atom alapállapotban nem sugároz, az elektron nem zuhan az atommagba. Következtetés: a klasszikus fizika már nem érvényes, vagy kikötésekkel, posztulátumokkal alkalmazható. • A BOHR-FÉLE ATOMMODELL Előzmények: PLANCK (1900)

kvantumelmélete: anyagok hevítésekor kisugárzott energia energia kvantumokban távozik, a legkisebb ú.n Planck-féle hatáskvantum: hν = 6,63.10-34 Js E = n . hν Általános kémia EINSTEIN-féle ekvivalencia elv, ill. foton elmélet (1905): korpuszkuláris rendszer és a ν rezgésszámú el.mágn sugárzás (fény) közötti tömeg és energia kicse-rélődéskor a rendszer energiaváltozása: ∆E = hν = m.c2 A foton tulajdonságai: Energiája: E = hν (fotoelektronos hatás) Impulzusa: E = m.c2(energia-tömeg ekvivalencia) Ebből: hν = m.c2 /osztva c-vel hν/c = m.c /mivel 1/λ=ν/c mc = h/λ sugárnyomás, A fény kettős természetű. fény-nyomás POSZTULÁTUMOK: Rutherford-modell korrekciója 1. A stacionárius pályák kvantumelve: az elektron csak meghatározott diszkrét pályákon keringhet a mag körül. Ezeken (orbit) sugárzás (energiaveszteség) nélkül kering. Az elektron energiája ugrásszerűen változhat egyik pályáról a másikra ugorva

(abszorpció, emisszió) 2. Frekvencia elv: az elektron energiaváltozása: ∆E = E 1 - E 2 = hν ha E1 > E2 E1 < E2 emisszió abszorpció E posztulátumok ellentmondanak a klasszikus elektrodinamika törvényeinek, de a H-atomot jól leírják: A H-ATOM: e2 m ev 2 = r2 2 el.sztatikus vonzás centrifugális erő + r E = T + V = mv2/2 - e2/r = e2/2r - e2/r = e2/2r a teljes mechanikai energia. A kvantumelv szerint az r-sugarú körpályán keringő elektron hatásszorzata egy teljes periódus alatt csak a hatáskvantum egész számú többszöröse lehet, azaz Általános kémia ∫ pϕ dϕ = nh ahol p ϕ az szögimpulzus, ϕ az elfordulás szöge és n = 1, 2, 3, . egész szám Mivel ∫ dϕ = 2π és p ϕ = m e vr, ∫ pϕ d ϕ = m e vr 2π = nh Eszerint az elektron impulzusa kvantált a megengedett pályákon: p = me vr = n h = n.  2π Ezekből az elektron tulajdonságai: n 2h 2 , rn = 4π m e e 2 r 1 = 0,529.10-8 cm 2 a Bohr-féle atomrádiusz v 1 =

2,18.108 cm/s 1 2πe 2 , vn = n h 2π 2 m e e 4 , En = − n 2h 2 E 1 = - 13,60 eV. ahol az n a kvantumszám. Az energia kvantált A pályasugarak úgy aránylanak egymáshoz, mint 12 : 22 : 32 : . : n2, a természetes egész számok négyzetei A BOHR-MODELL kísérleti igazolása: a H-atom vonalas színképe, szériatörvény, Rydberg állandó: 1 ~ λ = ν~ = R( 1 1 − 2) n 12 n2 ahol ν = ν/c = 1/λ a hullámszám, és R = 1,0973743.105 cm-1, a Rydberg állandó ~ = R( 1 − 1 ) ν 2 2 n= 2,3,. LYMAN-sor 1 n 1 1 ) ~ = R( ν − 22 n2 ~ = R( 1 − 1 ) ν 32 n2 ~ = R( 1 − 1 ) ν 42 n2 ~ = R( 1 − 1 ) ν 2 2 5 n= 3,4,. BALMER-sor n= 4,5,.PASCHEN-sor n=5,6,.BRACKET-sor n= 6,7,. PFUND-sor n A Bohr-féle atommodellből elméleti úton: 2 4 e e ( 1 − 1 ) /*1/hc h ν = E 2 − E1 = 2π m h2 n 12 n 2 2 2 4 ahol ~ = 2π m e e ( 1 − 1 ) ν h 3c 2 n1 n2 2 Általános kémia ee R = 2π m 3 h c 2 4 = 1,097373.105 cm-1 A kísérleti és az elméleti érték jól

egyezik. A Bohr-modell ellentmondásai: - a H-atomot jól, a He-atomot azonban már nem írja le - a H-atom színképében több vonal van, mint amennyi a modellből következik, - a vonalak a mágneses térben (Zeeman-effektus) és az elektromos térben (Starkeffektus) felhasadnak - Az elektronnak tehát többféle állapota lehetséges, mint amennyit a főkvantumszámok definiálnak. - a Bohr-modell szerint az atom formálisan korong alakú. • SOMMERFELD (1915) további kvantumszámokat vezet be és megadja azok fizikai tartalmát: Előzmények: - HEISENBERG-féle bizonytalansági elv (1927) (∆x . m ∆V x ) ≥ h/2π ∆p Az elektron tulajdonságairól (nagyon kicsi a tömeg) CSAK STATISZTIKUS képet alkothatunk. Egyforma (nagy) pontossággal az elektron helyét a térben (x, térkoordináta) és energiáját (p, impulzusát) egyidőben megadni nem tudjuk. - átlagos sebessége: 2,19.106 ms-1 - tartózkodási valószínűség A szubatomos részecskék tulajdonságainak

leírására a KLASSZIKUS MECHANIKA nem alkalmas. Helyette a STATISZTIKUS MECHANIKA eszközeit kell használni - A FÉNY KETTŐS (DUÁLIS) TERMÉSZETE (Einstein relativitás elmélete, 1905) Egy v-sebességgel mozgó test m tömege a nyugalmi m 0 tömeg-hez képest annál na-gyobb lesz, minél nagyobb a test sebessége: m = / .c2 és sorbafejtve: m0 v2 1− 2 c 2 2 m c = m0 c + m0 v2/ 2 + . vagy 2 2 (m - m 0 ) c = m 0 v / 2 + . ahol c (= 2,997 925.1010 cm s-1) a fény terjedési sebessége Általános kémia A tömeg és az energia összefüggése nemcsak a kinetikus, hanem minden más energiára érvényes. Ezért egy anyagi test tömegének ∆m értékű változásakor a test energiája ∆E = ∆m . c2 értékkel változik, illeetve az E energiához mindig m = E/c2 tömeg tartozik. A foton m f tömege tehát: mf = E hν − 48 = gramm.ν 2 2 = 7 ,36.10 c c a rezgésszám helyett a ν = c/λ összefüggés felhasználásával a mozgó foton tömege a

hullámhossz függvényében: . −37 2,2110 h = mf = gramm λ c λ a fénysebességgel mozgó foton impulzusa: p f = mf . c = h λ A fenti összefüggést DE BROGLIE (1924) általánosította. Minden v sebességű, ill p impulzusú korpuszkulumhoz olyan hullámmozgás tartozik, melynek hullámhosszát a λ = h h = p mv egyenlet adja meg. (De Broglie-féle anyaghullámok) Az elektron is kettős természetű: korpuszkula és hullám természetű HULLÁMMECHANIKA • KVANTUMMECHANIKAI ATOMMODELL Sommerfeld 4 kvantumszámot használt: főkvantumszám (jele: n): 1, 2, 3, . , n K, L, M, . , az n= 1 K energiaszint a legalacsonyabb, az elektron számára a maghoz legközelebbi tartózkodási hely mellékkvantumszám (jele: l ): értéke a 0 ≤ l ≤ (n-1) tartományban bármely egész szám. A megfelelő elektronállapotok sorra: s, p, d, f, (g, h, ) Értéke függ a főkvantumszámtól. mágneses kvantumszám (jele m) értéke -l ≤ m ≤ + l tartományban bármely egész

szám. Értéke függ a mellékkvantumszámtól Általános kémia spínkvantumszám (jele m s ) az előző három kvantumszámmal körülhatárolt ele ktronállapotot véglegesen definiálja. Bármely kvantumállapotban két értéke lehetséges: -1/2, +1/2 Kvantumszámok kombinációi: n l m ms 1 (K) 0 (s) 0 (s) 0 0 -1/2, +1/2 -1/2, +1/2 2 (L) 1 (p) 0 (s) 1 (p) 3 (M) 2 (d) 0 (s) 1 (p) 2 (d) 4 (N) 3 (f) -1 0 +1 0 -1 0 +1 -2 -1 0 +1 +2 0 -1 0 +1 összes elektronállapot 2 2 2 8 -1/2, +1/2 6 -1/2, +1/2 2 -1/2, +1/2 6 18 -1/2, +1/2 10 -1/2, +1/2 2 -1/2, +1/2 6 -2 -1 0 +1 +2 -1/2, +1/2 10 -3 -2 -1 0 +1 +2 +3 -1/2, +1/2 - A kvantumszámok fizikai jelentése: 32 14 Általános kémia ATOMOK ELEKTRONHÉJ-SZERKEZETE - Az elektronok mozgásának leírásánál a KORPUSZKULA és HULLÁM jellegre egyszerre kell tekintettel lenni: KVANTUM HULLÁMMECHANIKA • KVANTUMMECHANIKAI ALAPFOGALMAK A mikrorendszer állapota az ú.n ψ-függvényekkel írható

le: ψ = ψ (x,y,z,t) Stacioner állapotban a függvény az időtől független, csak a helykoordináták függvénye: ψ = ψ (x,y,z) A ψ gyakran komplex függvény, fizikai tartalma nics: ψ (x) = f(x) + i g(x) ψ (x) = f(x) - i g(x) Valós rendszereket valós függvények jellemeznek: ψ ψ* = f(x)2 + g(x)2 A ψ ψ* = |ψ|2 szorzatnak nagy jelentősége van: JELENTI A MIKRORÉSZECSKE TARTÓZKODÁSI HELYÉNEK VALÓSZÍNŰSÉGI SŰRŰSÉGÉT. Ebből a tartózkodás valószínűsége vezethető le: z dz dy dx x y dW = ψ (x)ψ*(x) dx annak valószínűsége, hogy az elektron az x + dx térrészben van A tartózkodási valószínűségi sűrűség a 3-dimenziós térben: dW = ψ (x,y,z) ψ*(x,y,z) dx dy dz A tartózkodási valószínűség az a1 ≤ x ≤ a 2 , c 2 b2 a 2 W= b1 ≤ y ≤ b2 , c1 ≤ z ≤ c2 térrészben: ∫ ∫ ∫ ψ (x,y,z) ψ*(x,y,z) dx dy dz = 1 c1 b1 ac1 Általános kémia ∞ ∞ A biztos esemény valószínűsége W=1, a és a + között

biztosan megtaláljuk az elektront. Ebből adódik a hullámfüggvény azon tulajdonsága, hogy eleget tesz a NORMÁLÁSI FELTÉTELnek: +∞ +∞ +∞ W= ∫ ∫ ∫ ψ (x,y,z) ψ*(x,y,z) dx dy dz = 1 −∞ −∞ −∞ azaz +∞ ∫ | ψ | dτ = 1 2 −∞ A ψ-függvény kielégíti a folytonossági és a határfeltételeket is. Szükséges, hogy a hely egyértelmű függvénye legyen. • A SCHRÖDINGER EGYENLET Egy rendszer állapotát a FIZIKAI MENNYISÉGEK TELJES KÉSZLETÉvel jellemezzük. A kvantummechanikában az ezekhez rendelhető folytonos vagy diszkrét értékeket SAJÁTÉRTÉKEKnek nevezzük A diszkrét, kvantált sajátértékek készletét indexekkel, KVANTUMSZÁMOKkal adjuk meg. A fizikai mennyiségek és diszkrét sajátértékeik közötti kapcsolatot OPERÁTOROKkal fejezzük ki:  ψn = An ψn A Az E fizikai mennyiség sajátfüggvényeit az alábbi egyenlet adja:  ψ=Eψ H A megoldásból csak azok fontosak számunkra, amelyek kielégítik a

normálási feltételt. A megoldás E-konstansai a sajátértékek AZ ENERGIA SAJÁTÉRTÉK EGYENLET a normálási feltétellel együtt:  ψ=Eψ H +∞ ∫ | ψ | dτ = 1 2 −∞  a Hamilton operátor (energia operátor), E a diszkrét energia ahol H sajátértékek. ∇2  = T +V  = −  ( ∂ + ∂ + ∂ ) + V ( x, y, z) = E ψ H 2 2 2 2 n ∂x2 ∂y2 ∂zx2 Általános kémia Egzakt megoldása csak néhány esetben van (pl. H) Egyébként különböző közelítő megoldásokat adnak. • A H-ATOM KVANTUMMECHANIKAI LEÍRÁSA Egy -e töltésű elektron mozog +e töltésű mag gömbszimmetrikus erőterében: Ze 2 V (r ) = − 4πε0 r ha eπ = e / 4πε 0 , Zeπ 2 V (r ) = − r eπ 2 V (r ) = − r Z = 1 a H esetén a magtöltés, így  ψ = E ψ behelyettesítés után: A Schrödinger egyenlet: H  2 eπ2  ∇ − ψ = Eψ r   Az egyenlet érvényes valamennyi egyelektronos Z rendszámú atomra (He+, Li2+, Be3+ stb). A ψ

(x,y,z) sajátfüggvényt célszerű POLÁRKOORDINÁTÁKkal átírni z ϑ r P(x,y,z) x = r sin ϑ . cos ϕ y = r sin ϑ . sin ϕ z = r cos ϑ r2 = x2 + y2 + z2 ϕ x y r sin ϑ ψ (x, y, z) = ψ (r, ϑ, ϕ) = ψ A megoldás során az adódik, hogy az elektron mozgására két egymástól független, a sugártól és a szögektől függő részt kapunk. A 3-dimenziós mozgás leírásához 3 kvantumszám szükséges. A hullámegyenlet tehát: sugárfüggő szögfüggő ψ n l m(r, ϑ, ϕ) = R n l (r) . Y l m(ϑ, ϕ) = = R n l (r) Θ l m(ϑ) Φ m(ϕ) Általános kémia ahol n = 1, 2, 3, . l = 0, 1, 2, . , (n-1) m = -l, -(l-1), . , -1, 0, +1, , (l-1), l Az energia sajátértékek: En = − ahol Z 2 eπ2 1 . , 2a 0 n2 a0 = 2 meπ2 n = 1,2 ,3,. = 52 ,9 pm az ú.n Bohr-féle sugár A H-atom lehetséges elektronállapotai tehát: n 1 2 2 2 2 3 3 3 3 3 3 3 3 3 l 0 0 1 1 1 0 1 1 1 2 2 2 2 2 m 0 0 0 1 -1 0 0 1 -1 0 1 -1 2 -2 Állapot 1s 2s 2 pz 2 px 2 py 3s

3 pz 3 px 3 py 3 d z2 3 d zx 3 d zy 3 d xy 3 d x2-y2 Saját függvény f (r) f (r) f (r) z f (r) x f (r) y f (r) f (r) z f (r) x f (r) y f (r) z2 f (r) zx f (r) zy f (r) xy f (r) x2-y2 E E1 E2 E3 - Az ELFAJULTSÁG (degeneráltság) fogalma: degeneráltak azok az elektron állapotok, amelyek energiái AZONOSAK. A H-atom elektronállapotainak energiáját egyedül a FŐKVANTUMSZÁM határozza meg Az állapotok tehát a mellék kvantumszámok szerint elfajultak A mágneses- és spín-kvantumszámok szerinti elfajultságot is figyelembe véve a H-atom elektronállapotainak elfajultsága: 2.n2-szeres Így: az n=1 kv.számú K-héj degeneráltsága: 2 az n=2 kv.számú L-héj degeneráltsága: 8 az n=3 kv.számú M-héj degeneráltsága: 18 az n=4 kv.számú N-héj degeneráltsága: 32 és így tovább. Általános kémia Az (n,0,0) állapotok csak az r-től függnek, gömbszimmetrikus valószínűségi sűrűségfüggvények: z n s állapotok y + x Az l ≠ 0 és m ≠ 0

állapotok szögfüggő tagot is tartalmaznak, irányítottak, orientáltak: l=1 p-állapotok z z + y - z x + y + - - x pz x py l=2 y px d-állapotok z y + + + - x + x - d z2 d x2-y2 d γ állapotok z + + x + + y d yz d zx d ε állapotok + + z y - - d xy x Általános kémia Nemcsak az energia sajátértékek, hanem az ugyancsak kvantált IMPULZUSMOMENTUMok (L) és ezek z-irányú komponensei, a MÁGNESES MOMENTUMOK is kiszámíthatók: Z 2 eπ2 1 En = − . , 2a 0 n2 L= l ( l + 1) LZ = m LS = n = 1,2 ,3,.  2π  2π mS ( mS + 1)  2π Ezek egyben megadják a kvantumszámok fizikai tartalmát, jelentését: • n főkvantumszám: az elektron lehetséges energiaszintjeit határozza meg • l mellék kvantumszám: a pályán keringő korpuszkula tehetelenségi nyomatékát (imp.mom) adja meg, több elektronos atomokban az energiát is meghatározza • m a mágneses kvantumszám: a pályán keringő töltés által keltett

el.mágn tér mágneses momentumát adja • m s spínkvantumszám: a saját tengely körül is forgó töltés keltette mágneses vagy spínmomentum értékét határozza meg • A H-ATOM VEKTORMODELLJE Az L impulzusmomentum lehetséges térirányai nem tetszőlegesek, hanem a mágneses kvantumszám által meghatározottak - A TÉR IS KVANTÁLT. Tekintsük pl. a d-állapotokhoz tartozó impulzusmomentum nagyságát és irányait: (lásd a vektordiagramot a köv. oldalon) Az elektronnak töltése és tömege mellett saját mechanikai impulzusmomentuma is van. Ezt másképpen spínmomentumnak nevezzük Ez vele arányos mágneses momentum fellépésével jár. Itt is fellép a térkvantált szög jelensége LS = mS ( mS + 1)  2π Ennek iránya csak olyan lehet, hogy a z-tengelyre eső vetülete LS ,Z = mS  2π nagyságú lehet, ahol m s = ± 1/2, a spínkvantumszám. Általános kémia z LZ = 2  2π 1  2π L= l ( l + 1) LZ = m −1  2π −2  2π

 2π  2π Az elektronnak tehát pálya inpulzusmomentuma és spínmomentuma van, ezek összegeződnek: Az eredő teljes impulzusmomentum: Lj = L + LS = { l ( l + 1) + = j( j + 1) mS ( mS + 1) }  2π ahol a j az ú.n belső kavantumszám: j = l + m S = l ± 1/2  = 2π Általános kémia z  j 2π m Lj = j ( j + 1) l ( l + 1)  2π  2π  2π 1  2 2π L= LS = mS ( mS + 1)  2π • TÖBBELEKTRONOS ELEKTRONHÉJAK SZERKEZETE Megszűnik a gömbszimmetrikus potenciális erőtér. Az elektron nem csak a mag, hanem a vele közös héjban lévő elektron erőterében is mozog. A He-atom pl. z o r1 +2e * r2 o x V=− 2 e2 r1 − 2 e2 r2 - e(x 1 ,y 1 ,z 1 ) y - e(x 2 ,y 2 ,z 2 ) + 2 e2 r12 - Az így felírt Schrödinger egyenletnek csak közelítő megoldásai vannak. - A közelítő módszerek közül az egyik a FÜGGETLEN RÉSZECSKE MO-DELL (központi erőtér modell) • minden elektron a többitől függetlenül mozog

olyan átlagos térben, amelyet a mag és az összes többi elektron hoz létre, • a potenciális erőtér tehát „gömbszimmetrikus”, de figyelembe veszi a mag erőterének árnyékolását az elektronoktól, • a Schrödinger egyenlet megoldása „egyrészecskés” megoldások szuperpozíciója, Általános kémia • az egyrészecskére megismert fogalmak használhatók, eredmények továbbvihetők. EREDMÉNYEK • Az egynél több elektronok ψ függvényeinek is csak megfelelő sajátértékeknél van folytonos, korlátos megoldása. A H-nél megismert 4 kvantumszám itt is szerepel. A lehetséges állapotok megismert térbeli orientációja változatlan • A gömbszimmetrikus potenciáltér megbomlása miatt az l mellék kvantumszám szerinti degeneráltság felhasad. Megmarad az m mágneses kvantumszám szerinti degeneráltság. Így: az s állapot degeneráltsága 2, a p állapot degeneráltsága 6, a d állapot degeneráltsága 10, az f állapot

degeneráltsága 14. Általánosan az l mellék kvantumszámú állapot 2(2l+1)-szeresen degenerált. * Az elektron energiája a H-ban csak a főkvantumszámtól függ. Többelektronos rendszerben az elektron energiáját a fő- és mellék kvantumszám együttesen határozza meg. * Az elektronállapotok energiájának sorrendje: héj: 1s n+l: 1 2s 2 2p 3 3s 3 3p 4 4s 4 3d 5 4p 5 héj: . n+l: . 4d 6 5p 6 6s 6 4f 7 5d 7 6p 7 . . 5s 5 . . A feltöltődési sorrend más ábrázolásmódban: 1s 4f 5f 3d 4d 5d 2p 3p 4p 5p 6p 2s 3s 4s 5s 6s 7s • Az elektron energiája másrészt függ az atommag töltésétől és a héj többi elektronállapotától. Nagyobb rendszámú elem elektronja pl erősebben kötött. Általános kémia • A többelektonos atomok elektronhéjának FELÉPÍTÉSI SORRENDJE az alhéjak növekvő energiaszintjének felel meg. A belépési sorrendet, az energiaminimum elve, a Pauli-féle tilalmi elv és a Hund-szabály

határozza meg Azaz az elektronok a kvantumszámokkal definiált állapotokat e három elv teljesülése mellett töltik meg. 1. Az energiaminimum elve azt jelenti, hogy pl az elektronok mindig a leg- kisebb „szabad” állapotokat foglalják el az elektronhéjban. 2. A Pauli-féle tilalmi elv az elektronok megkülönböztethetelenségének kö-vetkezménye Kimondja, hogy két elektronnak nem lehet mind a négy kvantumszáma azonos Legalább a spín kvantumszámban különbözni kell Egy az mállapotok meghatározta alhéjban legfeljebb két spínben különböző elektron tartózkodhat. 3. A Hund-szabály vagy a maximális multiplicitás elve azon alapul, hogy a degenerált (azonos energiájú, különböző mágneses kvantumszámú) állapotokon belül az elektronok úgy helyezkednek el, hogy a j belső kvantumszámmal megadott összes impulzusuk a legkisebb legyen. Ez viszont a degeneráción belüli energiaminimumra való törekvésnek felel meg. Ez csak úgy valósulhat meg,

ha különböző m-állapotokat a megegyező (paralel) spínű elektronok először egyesével foglalják el, majd ezután folytatódik az ellentétes spínű elektronokkal a „párképződés”. Ez a jelenség az ún maximális multiplicitás Az elektronhéjban tehát lehetnek párosított és párosítatlan elektronok. 4. A Hund-szabály és a paramágnesesség Tekintsük a szén-atom elektronkonfigurációját: 2s2 2p2 = [He] 2s2 2p2 = K 2s2 2p2 = = 1s 2s2 2p x 1 2p y 1 = 6 C: 1s 2 2 Az elektronok 3-féle elhelyezkedése: 1s 2s 1. ( ↑↓ ) ( ↑↓ ) 2p (↑ )(↑ )( ) 2. ( ↑↓ ) ( ↑↓ ) (↑ ) 3. ( ↑↓ ) ( ↑↓ ) ( ↑↓ ) ( )( ↓)( )( ) Az 1. eset valósul meg, mert a legkisebb energiájú állapotot akkor kapjuk meg, ha a 2p alhéjon két azonos spínű elektron két különböző pályát foglal el. Két azonos spínű elektron hatékonyabban kerüli el egymást (azaz hogy egyszerre ne azonos térrészben legyenek), mint a különböző

spínűek, mint a 2. esetben A kiegyenlítetlen, páratlan spínű elektronokkal rendelkező atomok paramágnesességet mutatnak, azaz az ilyen atomokra a külső mágneses tér vonzást gyakorol. Általános kémia A kiegyenlített spínű, csak páros elektronokkal rendelkező atomokra a külső mágneses tér gyenge taszító hatást fejt ki, az ilyen anyagok diamágneses anyagok. • ATOMOK ELEKTRONKONFIGURÁCIÓJA Az atomok elektronszerkezete, azaz elektronkonfigurá-ciója tehát a felépülési elv és a kvantumszámok segítségével felírható. Példák: 9 F: 1s 2 2s2 2p5 = K 2s2 2p5 = [He] 2s2 2p5 = = [He] 2s2 2p5 = [He] 2s2 2p x 2 2p y 2 2p z 1 24 Cr: 1s 2 2s2 2p6 3s2 3p6 4s1 3d5 = [Ar] 4s1 3d5 = = [Ar] 4s1 3d z2 1 3d x2-y2 1 3d xy 1 3d yz 1 3d zx 1 50 Sn: 1s 2 2s2 2p6 3s2 3p6 4s2 3d10 4p6 5s2 4d10 5p2 = = [Kr] 4d10 5s2 5p x 1 5p y 1 Általános kémia ELEMEK PERIÓDUSOS RENDSZERE, PERIÓDIKUS TULAJDONSÁGOK • Dimitrij MENDELEJEV, Lothar MEYER (1869):

atomok növekvő atomsúly szerint sorba rendezve periódikus tulajdonságokat mutatnak. Az egy OSZLOPba tartozók kémiailag hasonló elemek (ELEMCSOPORT). Az egy SORt alkotó elemek alkotják a PERIÓDUSt. A tulajdonságok szabályos elrendeződése szerint kialakult táblázata az elemeknek a PERIÓDUSOS RENDSZER. • Mendelejev az akkor még nem ismert elemek helyét a táblázatban üresen hagyta, de közelítő atomsúlyukat megjósolta a táblázatbeli hely alapján: Cu Zn (Ea) (Es) As Se Br 63 65 (68) (72) 75 78 80 reltív atomtömeg egység • A nemesgázokat még nem ismerte. Ea - eka-alumínium (gallium), Es - eka-szilicium (germánium), Eb - eka-bór (szkandium) Lecoq de BOISBAUDRAN (1874) felfedezte a GALLIUM-ot: tulajdonság eka-alumínium gallium rel. atomtöm 68 (ate) 69,9 (ate) oxid képlete Ea 2 O 3 Ga 2 O 3 sűrűség 5,9 g/cm3 5,91 g/cm3 olvadáspont alacsony 30,1 oC forráspont magas 1983 oC • H.G MOSELEY (1914) elemek elhelyezkedése a periódusos rendszerben

RENDSZÁ-Muk alapján. „Anomáliák” a Mendele-jev féle rendszerben megszünnek: pl. 127 , 6 52 Te - 126 , 9 53 I, 58 , 9 27 Co - 58 , 7 28 Ni • FŐCSOPORTOK (A-oszlopok), s- és p-héj feltöltődése zajlik • MELLÉKCSOPORTOK(B-oszlopok), d-héjak feltöltődése. • Elemek CSOPORTOSÍTÁSA Szempontok: 1. Vegyértékhéj alapján: s-mező elemei: n s1-2 p-mező elemei:ns2 np1-6 d-mező elemei: (n-1)d1-8 ns2 f-mező elemei: (n-2)f1-14 ns2 2. Elemcsoportok alapján: Főcsoportbeli elemek: alkálifémek, alkáli földfémek, földfémek, széncsoport, pnikogének, kalkogének, halogének, nemesgázok Mellékcsoportbeli elemek: Sc-csoport, Ti-csoport, V-csoport, Cr- csoport, Mncsoport, Fe- csoport, könnyű Pt-fémek, nehéz P-fémek, ritka földfémek, transzurán elemek Általános kémia, 11. előadás 163 AZ ELEMEK MENDELEJEV-FÉLE PERIÓDUSOS RENDSZERE Csoport Periódus 1 K 2 2 L 8 3 M 8 4 N 18 5 O 18 P Q 6 7 32 32 A s1 I. B d10s1 A s2 II. B d10s2

A s2 p 1 III. B d 1 s2 A s2 p 2 IV. B d 2 s2 A s2 p 3 V. B d 3 s2 A s2 p 4 VI. B d 4 s2 VII. A s2 p 5 B d 5 s2 1H A s2 p 6 d 8 s2 2 He 3 Li 4 Be 5B 6C 7N 8O 9F 10 Ne 11 Na 12 Mg 13 Al 14 Si 15 P 16 S 17 Cl 18 Ar 19 K 20 Ca 21 Sc 22 Ti 37 Rb 55 Cs 87 Fr 29 Cu 47 Ag 79 Au 38 Sr 56 Ba 88 Ra 30 Zn 48 Cd 80 Hg 31 Ga 32 Ge 33 As 39 Y 40 Zr 41 Nb 71 La* 72 Hf 73 Ta 89 Ac* 104 Db 49 In 81 Ta 50 Sn 82 Pb 23 V 52 Te 51 Sb 83 Bi 34 Se 84 Po 105 Jl * Lantanoidák: 58 Ce 59 Pr 60 Nd ( 61 Pm) 62 Sm 63 Eu 64 Gd 65 Tb 66 Dy 67 Ho 68 Er 69 Tm 70 Yb 71 Lu * Aktinoidák: 90 Th 91 Pa 92 U 93 Np 94 Pu ( 95 Am) ( 96 Cm) ( 97 Bk) ( 98 Cf) ( 99 Es) ( 100 Fm) ( 101 Md) ( 102 No) ( 103 Lw) 24 Cr 25 Mn 42 Mo ( 43 Tc) 53 I 74 W 106 Rf 36 Kr 35 Br 85 At 75 Re 107 Bh 46 Pd 54 Xe 86 Rn VIII. d 6 s2 B d 7 s2 26 Fe 27 Co 44 Ru 45 Rh 76 Os 77 Ir 108 Hn 109 Mt 28 Ni 78 Pt Általános kémia, 11. előadás Új elemek (1994, IUPAC):

105 Jl 106 Rf 104 Db Joliotium Rutherfordiu Dubnium m 107 Bh 108 Hn Bohrium Hahnium 109 Mt Meitnerium 164 Általános kémia, 11. előadás 165 3. Kémiai hasonlóság alapján: Nemfémes elemek Félfémek Másodfajú fémek Átmeneti fémek Fémek Lantanoidák és aktinoidák PERIÓDIKUS TULAJDONSÁGOK. - Az atomok elektronkonfigurációja periódikus ismétlődést mutat, azaz adott konfiguráció periódusonként ismétlődik. Ezért az elemek fizikai és kémiai tulajdonságai is periódikusan váltakoznak. Ez lényegében a periódusos törvény, mely szerint ha az elemeket rendszámuk szerint növekvő sorrendbe rendezzük, akkor azok fizikai és kémiai tulajdonságai periódikusan ismétlődnek. • - Az ATOMRÁDIUSZ. Az atomnak nincs véges mérete, az elektronok eloszlási valószínűsége nem válik nullává élesen a magtól egy bizonyos távolságra, hanem fokozatosan csök-ken. Az atomméret definíciója önkényes: atomsugár fogal-mán az atommag

középpontjától a legkülső elektronhéj elek-tron eloszlásfüggvényének maximumáig mért távolság. - Az atomrádiuszt befolyásoló két tényező a LEGKÜLSŐ ATOMPÁLYA FŐKVANTUMSZÁMA és az EFFEKTÍV MAGTÖLTÉS. Minél nagyobb a főkvantumszám, annál nagyobb az atomrádiusz Növekvő magtöltés viszont csökkenti az a kérdéses atompálya sugarát. - Az elektronra ható effektív magtöltés egyenlő a magtöltés és a magot árnyékoló belső elektronok számának különbségével. - A Li atom esetében pl. a 2s1 elektronra ható effektív magtöltés: +3e - 2e = 1, azaz a vegyértékelektronok számának e-szerese. 1. Minden perióduson belül a rendszám növekedtével CSÖKKEN az atomrádiusz (A magtöltés növekedésének vonzó hatása a változatlan főkvantumszámú héjon lévő elektron-ra nagyobb, mint a belépő elektron atomméret lazító hatása). 2. Minden csoporton (oszlopon) belül az atomrádiusz a rendszám növekedtével együtt NŐ. (A

vegyérték elektronok egyre nagyobb főkvantumszámú héjon vannak). - Az IONIZÁCIÓS ENERGIA. Egy atom első ionizációs energiája azzal az energiával azonos, amely ahhoz szükséges, hogy 1 mól gázállapotú semleges atomról 1 mól elektront eltávolítsunk (az atom legkülső elektronhéjáról). Pl Általános kémia, 11. előadás 166 Li: 1s2 2s1 Li: 1s2 + e ∆H = 521 kJ mol-1 -Változása periódikus a rendszám függvényében. Az ionizá-ciós energia az effektív magtöltés és az elektron és a mag közötti távolság hányadosával arányos. Mivel e távolság az effektív magtöltéssel fordítottan arányos, az ionizációs energia lényegében az effektív magtöltés négyzetével arányos. 1. Adott perióduson belül az ionizációs energia a rendszám növekedtével NŐ Pl Li (521 kJ mol-1) Ne (2081 kJ mol-1) Az alkálifémek könnyen leadják vegyértékelektronjukat (lángfestés, lángfotometria, „világító elektron”). A nemesgázoknak a

legnagyobb az ionizációs energiája (nemesgázhéj-konfiguráció stabilitása a legnagyobb). Eltérés az általános tendenciától a félig betöltött p- és d-pályák konfigu-rációi esetében van (HUND-szabály). 2. Az ionizációs energia adott oszlopon belül a rendszám növekedtével CSÖKKEN Ez az atomok méretbeli növekedésének következménye 3. Az egymást követő elektron-eltávolítási lépésekhez szükséges energiák a 2, 3, . , ionizációs energiák Egy adott elemnél az egymást követő ionizációs energiák értéke NŐ. A 2 lépésben pl már nem egy semleges atomról kell elektront leszakítani, hanem egy +töltésű ionról! Ugrás tapasztalható abban a lépésben, ahol lezárt atomtörzs elektronjának leszakításáról van szó. - Ha egy gázhalmazállapotú atom egy elektront vesz fel és így stabilis aniont képez, energia szabadul fel. Pl Cl: [Ne] 3s2 3p5 + e Cl-: [Ne] 3s2 3p6 ∆H = - 349 kJ mol-1 Számos esetben a negatív töltésű ion

nem stabilis, ilyenkor az elektronfelvételhez energia szükséges. ELEKTRONAFFI-NITÁS annak a reakciónak az entalpiaváltozása, amelyben valamely gáz halmazállapotú atom egy mólja elektronfelvétellel egyszeres töltésű ionná alakul át. Stabilis ion képződésénél tehát az előjel negatív, labilis ion képződésénél pedig pozitív. Általános kémia, 11. előadás 167 A főcsoportbeli elemek elektonaffinitása (kJ mol-1) 1. periódus 2. periódus 3. periódus 4. periódus 5. periódus 6. periódus IA H -73 Li -60 Na -532 K -48 Rb -47 Cs -45 IIA IIIA IVA VA VIA VIIA Be 240 Mg 30 Ca 156 Sr 168 Ba 52 B 27 Al -44 Ga -30 In -30 Tl -30 C -122 Si -134 Ge 120 Sn -121 Pb -110 N 0 P -72 As -77 Sb -101 Bi -110 O -141 S -200 Se -195 Te -190 Po -180 F -328 Cl -349 Br -325 I -295 At -270 VIIIA He 21 Ne 29 Ar 35 Kr 39 Xe 41 Rn 41 A IVA csoportbeli elemek (C, Si, Ge, Sn, Pb) elektronaffi-nitása viszonylag nagy negatív érték, ez a stabilis, félig

betöltött p-alhéj képződés következménye. Az elektronaffinitás mérése nehéz. - ELEKTRONEGATIVITÁS az atomoknak azt a tulajdonságát fejezi ki, hogy milyen mértékben képesek magukhoz vonni a kötésben lévő elektronpárt. Többféle skála ismert. • R.S MULLIKAN (1934), az elektronegativitás az ionizá-ciós energia és az elektronaffinitás különbségének a fele adja (elméleti elektronegativitás): X= Ei − Ea 2 Pl. a fluor könnyen vesz fel elektront (nagy negatív E a ) és erősen tartja fogva azokat (nagy E i ) nagy elektronegativi-tású. Ugyanakkor pl a Li vagy a Cs, amely könnyen leadja az elektronjait (kis E i ) és kevéssé tudja azokat megtartani (kicsi negatív vagy pozitív E a ), kicsi elektronegativitású lesz. A Mullikan-skála csak korlátozottan használható: nehéz az elektonaffinitás értékét meghatározni. • A L.PAULING-féle skála terjedt el, melynek alapját a kötési energiák viszonya adja (relatív elektronegativitás) .

Kétatomos molekulák disszociációs energiájának vizsgálata azt mutatta, hogy egy heteronukleáris molekula (AB) disszociációs energiája, E D (AB), mindig nagyobb, mint a megfelelő kétatomos homonukleáris molekulák (AA, BB) disszociációs enegiájának, E D (AA) és E D (BB), számtani középértéke. Pauling ebből arra következtetett, hogy a kémiai kötés stabilizáló hatásán túl további stabilizáló hatás is fellép: a kötésben lévő partnerek közötti elektrosztatikus kölcsönhatás, az ún. extraionos energia, ami az elektronegativitással van kapcsolatban. Általános kémia, 11. előadás ∆ AB = ED ( AB) − 168 ED ( AA) + ED ( BB) 2 XA − XB = ∆ AB X A -X B a két, A és B atom elektronegativitásának különbsége. A skála ezért csak relatív skála. Pauling önkényesen a H atom elektronegativitását 2,1-nek vette - Az elektronegativitás változása szintén periódikus, a periódusos rendszerben általában jobbra és felfelé

NŐ. Általános kémia IA IIA Li Be 1,0 Na 1,5 Mg 0,9 K 1,2 Ca 0,8 Rb 169 H 2,1 VIIIB IIIB IVB VB VIB VIIB Sc Ti V Cr Mn Fe Co 1,0 Sr 1,3 Y 1,5 Zr 1,6 Nb 1,6 Mo 1,5 Tc 1,8 Ru 0,8 Css 1,0 Ba 1,2 La-Lu 1,4 Hf 1,6 Ta 1,8 W 1,9 Re 0,7 Fr 0,9 Ra 1,1-1,2 Ac-No 1,3 1,5 1,7 1,9 0,7 0,9 1,1-1,7 IIIA IVA VA VIA VIIA B C N O F 2,0 Al 2,5 Si 3,0 P 3,5 S 4,0 Cl 1,8 Ge 2,1 As 2,5 Se 3,0 Br IB IIB Ni Cu Zn 1,5 Ga 1,8 Rh 1,8 Pd 1,9 Ag 1,6 Cd 1,6 In 1,8 Sn 2,0 Sb 2,4 Te 2,8 I 2,2 Os 2,2 Ir 2,2 Pt 1,9 Au 1,7 Hg 1,7 Tl 1,8 Pb 1,9 Bi 2,1 Po 2,5 At 2,2 2,2 2,2 2,4 1,9 1,8 1,8 1,9 2,0 2,2 Általános kémia, 12. előadás 89 KÖTÉSELMÉLETI ALAPFOGALMAK A KÉMIAI KÖTÉS TÍPUSAI • DALTON: a különböző atomokat a „vegyrokonság” hozza össze a molekulában • BOHR: az atommodell alapján: az atomok stabilis nemesgázhéj konfigurációra törekednek • KOSSEL: az ionos kötés

Coulomb-féle erők következménye • LEWIS-féle modell: a közös molekula-elektronhéjban az atomok stabilis nemesgázhéj konfigurációra tesznek szert • A MOLEKULA AZ ATOMOK ÚJ ÁLLAPOTA, MELYBEN AZ ÖSSZENERGIA KISEBB AZ ATOMOK ENERGIÁINAK ÖSSZEGÉNÉL. A KÖTÉSI ENERGIA A KETTŐ KÜLÖNB-SÉGE. valencia áll. AO* E Ea AO MO Ed reakció koordináta • A KÉMIAI KÖTÉS TÍPUSAI 1. ionos kötés 2. kovalens kötés 3. fémes kötés • IONOS KÖTÉS A kémiai kötésre az első magyarázatot sók esetében adták meg. A sók magas olvadáspontú anyagok (pl. a NaCl op-ja 801oC), olvadékban és vizes oldatban vezetik az elektro-mos áramot (elektrolitok, az áramvezetés ionvezetés). Az inos kötés alapvetően egy pozitív és egy negatív töltésű ion közötti vonzóerő következménye. Két atom kö-zött akkor jön létre, amikor az egyik atom vegyértékhé-járól átad egy elektront a másik atom vegyértékhéjára. Az elektront átadó atom lesz a

KATION (+ töltés), az elektront fogadó az ANION (- töltés). A közöttük kialakuló Coulomb erő hozza létre az INOS KÖTÉST, és a szabá-lyos ionrácsot. Az ionos kötés erős Pl Na([Ne]3s1) + Cl([Ne]3s23p5) Na+([Ne]) + Cl-([Ne]3s23p6) Általános kémia, 12. előadás 90 Az elektronátadás következtében két nemesgáz konfigurációjú, stabilis elektronszerkezetű ion képződik, Ne és Ar. A NaCl kristályszerkezete 6-os koordinációjú lapon középpontos kockarács A Lewis-féle szimbólumokkal: Na • + • • • • • • • • • Cl • Na + ( • Cl •• )+ • • Az ionok két nemesgáz konfigurációja azonnal szembetű-nő, nincs párosítatlan elektron a vegyértékhéjon. Az ionos kötés energiája. A NaCl képződésének példá-ján A kötés kialakulása két lépésben (a két lépés való-jában nem különül el): 1) elektroncsere. Energetikailag az elektroncsere a Na atom ionizációját (446 kJ mol-1), és a Cl

atom elektronaffinitását (-349 kJ mol-1) jelenti. Tehát több energia kell az ionizációhoz, mint amekkora az elektronaffinitásból eredő nyereség (446-349 =147 kJ mol-1). 2) Ionkötés kialakulása viszont energianyereséggel jár, 555 kJ mol-1 energia szabadul fel, amihez még társul a kialakult ionrács rácsenergiája is. Összefoglalva, az ionkötés kialakulása akkor kedvezményezett, azaz energianyereséggel jár, ha az egyik atom ionizációs energiája kicsi (pl. alkáli fémek), a másik atom elektronaffinitása viszont nagy (nemfémes elemek). A főcsoport elemeinek egyatomos ionjai Periódus 1. IA IIA IIIA IVA nemesgáz konfiguráció VA VIA VIIA H- 2. Li+ Be2+ B C N3- O2- F- 3. Na+ Mg2+ Al3+ Si P S2- Cl- 4. K+ Ca2+ Ga3+ Ge As Se2- Br- 5. Rb+ Sr2+ In3+ Sn2+ Sb Te2- I- 6. Cs+ Ba2+ Tl+,Tl3+ Pb2+ Bi3+ nemesgáz konf. ns2 konfiguráció 1. Átmeneti fémek ionjai: változó iontöltés 2. Többatomos ionok, kationok,

anionok 3. Ionrádiuszok, atomrádiuszok, kation - kontrakció, anion - dilatáció • A KOVALENS KÉMIAI KÖTÉS Általános kémia, 12. előadás 91 A molekulán belül a kémiai kapcsolatot két atom között az elektronok párképződéséből származó un. kovalens kötés adja Pl a H 2 molekula a Lewis formalizmus szerint • H• + • H H • H vagy • H• + • H H • H Egyéb példák: HCl, H 2 O, NH 3 , CH 4 , C 2 H 4 , C 2 H 2 H + • Cl • • • • • • • H Cl kötő pár 2H • + • • • • O • • H O • • • • • • • • nemkötő párok • • • • Oktett szabály és érvényessége. • • • • H Kvantummechanikai értelmezés • A ψ-függvény a molekula elektronhéjában lévő elektronok mozgásának leírására is alkalmas • elektron az AO-on: gömbszimmetrikus potenciáltér - az elektron energiáját csak az n főkvantumszám határozza meg - l-szerinti a degeneráltság: H-atom

• több elektron AO-on: közel gömbszimmetrikus potenciál-tér - az elektron energiáját az (n + l) határozza meg - l-szerinti a degeneráltság megszűnik - mszerinti degeneráltság megmarad: He-atom • elektron MO-on: nem gömbszimmetrikus, változatos szimmetriájú potenciáltér - az elektron több mag és több elektron erőterében kölcsönhatásokra (perturbációkra) érzékenyek az energiaszintek - m-szerinti degeneráltság részleges megszűnése - közelítő kvantumkémiai számítások eredmények • A MOLEKULAGEOMETRIA ÉS A KÉMIAI KÖTÉS Két elméleti módszerrel, 1) a vegyértékkötés elmélettel (egyszerűen a VB-módszerrel és 2) a vegyértékhéjelektronpár-taszítási modellel (VSEPR modellel) foglalkozunk. Általános kémia, 12. előadás 92 • VEGYÉRTÉK-KÖTÉS ELMÉLET Kvantummechanikai módszer, amely a MO-okat kétcentrumos, lokalizálható MO-okból összetehetőknek tekinti. Egy AB n összetételű molekulát olyannak tekintünk,

mint ami n darab A-B kötésből összetett molekula A a központi atom, B a ligandum és n a koordinációs szám. A lehetséges molekulalakok: AB 2 ο AB 3 ο • ο ο ο ο sík háromszög ο • ο V-alak ο • tetraéder • ο ο T-alak AB 5 ο ο ο • ο ο ο négyzetes piramis AB 6ο ο ο • ο oktaéder ο ο ο ο • ο ο ο trigonális bipiramis ο ο ο ο ο ο trigonális piramis ο ο • ο ο ο sík négyszög • ο ο • • ο líneáris AB 4 ο négyzetes piramis ο • ο ο ο torzult oktaéder Általános kémia, 12. előadás 93 Molekula alak - geometria - kötéshosszak - vegyértékszögek. • A VB-módszer a dicentrikus MO-ok közelítését a központi atom AO-jainak líneáris kombinációjával (hibridorbitálok) végzi. Ez csupán matematikai absztrakció, HO-ok (hibrid orbitá-lok) valójában nem léteznek, de megkönnyítik a MO-ok magya-rázatát. A gondolatmenet

általánosan: promóció , Ea hibridizáció , Ea  AO( gerj.)  HO(valenciaáll)   AO  ligandumok  MO(energianyereség ) • Példák: CH 4 (metán) 2 2 1 C: 1s 2s 2p x 2p y 1 promóció sp 3hibridizáció   C: 1s 2s 2p 2p 2p  2 1 sp x 1 y 1 z 3  C: 1s h A HO-ok ψ-függvényei: 1 h 2 1 h 3 1 h 4 1 (valenciaállapot) ↑σ ↑σ ↑σ ↑σ H H H H 2 1 1 ψ h1 = 1 / 2(ψ s + ψ px + ψ py + ψ pz ) ψ h 2 = 1 / 2(ψ s + ψ px − ψ py − ψ pz ) ψ h 3 = 1 / 2(ψ s − ψ px + ψ py − ψ pz ) ψ h 4 = 1 / 2(ψ s − ψ px − ψ py + ψ pz ) A ψs előjele mindig +, eloszlása gömbszimmetrikus, a többi ψ-függvény előjele változó. Az együtthatók kielégítik a normálási feltételt (azaz négyzet-összegük 1) és az ortogonalitási feltételt (azaz bármely két sor vagy oszlop együtthatóinak szorzatösszege 0 kell hogy legyen). A négy HO teljesen egyenértékű,

csak térbeli irányultságukban külön-böznek. Ez az sp3 vagy a TETRAÉDERES hibridizáció. A H-atomok 1s1 elektronja a HO-ok párosítatlan elektronjával alkot kötőpárt: h4 h2 C 2 H 4 (etén, etilén), 4 σ-kötés, a C-H kötés poláris, a CH4 molekula apoláris, C h1 h3 H 2 C = CH 2 vegyértékszög 109,5o Általános kémia, 12. előadás 2 2 1 C: 1s 2s 2p x 2p y 1 promóció sp 1 x 1 y C H C 2 H 2 (etin, acetilén), C: 1s22s22p x 12p y 1 promóció z 1 h 2 1 h 3 1 2p z 1 (valenciaállapot) ↑σ ↑σ ↑σ ↑π H C C 2 1 1 3 σ-kötés, 1 π kötés σ H 1 2 H π σ sp 2 hibridizáció   C: 1s 2s 2p 2p 2p  2  C: 1s h σ 94 H C σ vegyértékszög 120o, gátolt belső forgás, sík szerkezet H HC ≡ CH sp hibridizáció   C: 1s 2s 2p 2p 2p  2 1 x 1 y sp 1 z  C: 1s h h 2 1 2p y 1 2p z 1 (valenciaállapot) ↑σ ↑σ ↑π ↑π C C C 2 H 1 1 1

Általános kémia, 12. előadás NH 3 (ammónia) 2 1 2 1 N: 1s 2s 2p x 2p y 2p z sp 3hibridizáció  N: 1s h 1 2 1 2 ↑ ↑σ ↑σ ↑σ lp H H H 2 h 1 - 1 nemkötő, magánospár H h4 N h2 3 σ-kötés + 1 lp, az N-H kötés poláris, az NH3 molekula poláris, h1 h3 h 2 1 h 3 1 h 4 1 (valenciaállapot) vegyértékszög 107o H H OH 2 (víz) sp 3hibridizáció  O: 1s h O: 1s22s22p x 22p y 12p z 1 lp h 1 , h 2 - 2 nemkötő, magánospár 2 h 2 2 h 3 1 h 4 1 (valenciaállapot) ↑ ↑ ↑σ ↑σ lp H H 2 2 1 H h4 O 2 σ + 2 lp, az O-H kötés poláris, az OH2 molekula poláris, h1 h3 2 vegyértékszög 104,5o H h2 HF (hidrogénfluorid) 2 2 2 2 F: 1s 2s 2p x 2p y 2p z 1 sp 3hibridizáció  F: 1s h 2 h 1 2, h 2 2, h 3 2 - 3 nemkötő, magánospár H h4 h1 F h2 h3 1 2 h 2 2 h 3 2 h 4 1 (valenciaállapot) 95 Általános kémia, 12. előadás 96 CH 4 , NH 3 , OH 2 , HF izoelektronos

molekulák Az L-héjon : 4 elektron > 4 elektron < 4 elektron hibr. sp3 sp3 sp2, sp lp. 0 1,2,3 BeCl 2 (berillium-diklorid) Be: K2s2 promóció sp hibridizáció   Be: K2s 2p  Be: K h 1 x 1 ψ h1 = 1 / 2 (ψ s + ψ px ) - ψ h 2 = 1 / 2 (ψ s − ψ px ) 1 h21 + • - z 1 • + z Cl Be Cl líneáris molekula (DIGONÁLIS hibridizáció), vegyértékszög 180o. BCl 3 (bórtriklorid) B: K2s2 2p x 1 prom. sp 2 hibr .  B: K2s 2p 2p  B: K h h h ψ h1 = ψ h2 = ψ h3 = 1 3 1 3 1 3 ψs + ψs − ψs − 1 x 1 y 1 2 ψ 3 px 1 1 6 1 2 1 6 ψ px + ψ px − 1 1 2 1 3 1 y 2py 2 ψ py - - ψ py Sík háromszög, 120o-os vegyértékszög. + h2 + 2px x y h1 h3 A fenti példákban az lp - magánospárok jelenléte csökkentette a vegyértékszöget. Magyarázat: a különböző elektronpárok térigénye és a közöttük fellépő taszítás mértéke: lp-lp > lp-bp > bp-bp x

Általános kémia, 12. előadás 97 Az AO-on maradt párosítatlan elektronok π-kötő orbitálra kerülhetnek. A CH 4 C 2 H 4 - C 2 H 2 sorban a kötésrend nő, a C-C kötéshossz csökken: Molekula R(C-C) pm. π + σ kötések CH 4 1,536 0 1 C2H4 1,397 1 1 C2H2 1,205 2 1 A magánospár taszító hatása annál nagyobb, minél nagyobb főkvantumszámú héjon vagyunk: Molekula vegyért.szög Molekula vegyért.szög H3N 107,0 H2O 104,5 H3P 93,5 H2S 92,3 H 3 As 92,0 H 2 Se 90,0 H 3 Sb 91,5 H 2 Te 89,5 Az L-héjon csak s és p állapotok vesznek részt a hibridizációban. Az M-héjtól kezdve a d-állapotok is részt vesznek a hibridizációban. Trigonális bipiramisos, sp3d hibridizáció PCl 5 (foszfor-pentaklorid) 1 2 1 P: KL3s 3p x 3p y 3p z prom. sp 3d hibr .  P: KL3s 3p 3p 3p 3d  1 1 x 1 y 1 z 1 1 z2 P: K h 1 1 h 2 1 h 3 1 h 4 1 h 5 1 Az sp3d = sp2 + pd trigonális bipiramisos hibridizáció: ψ h1 = ψ h2 = ψ h3 = 1 ψ 3s + 5 2 ψ

3 3 px 1 1 5 1 5 ψ 3s + ψ 3s − 1 ψ 3s 5 1 ψ h5 = ψ 3s 5 ψ h4 = 6 1 6 ψ 3 px + ψ 3 px − 1 2 1 2 + 4 ψ 30 3dz2 ψ 3 py + 4 ψ 30 3dz2 sp2 ψ 3 py + 3 ψ 10 3dz2 pd 1 ψ 3 pz + 2 1 − ψ 3 pz + 2 + 4 ψ 30 3dz2 3 ψ 10 3dz2 A ψ 3s és ψ 3dz2 AO-ok valamennyi ψ hi MO-ban részt vesznek. A vegyértékszögek: 120o (síkban), ill. 180o (a síkra merőlegesen) Általános kémia, 12. előadás A PCl 5 -dal izoelektronos molekulák: PCl 5 TeCl 4 ° ° ° • ° • ° 98 ClF 3 XeF 2 ° ° ° • ° • ° ° trig.bipir ° ° szabálytalan tetraéder ° sík T-alak líneáris  S: KL3s 3p 3p 3p 3d sp 3d hibr . Oktaéderes, sp3d2 hibridizáció SF 6 (kén-hexafluorid) S: KL3s2 3p x 23p y 13p z 1 prom.  1 1 1 1 1 x y z z2 3d x2-y2 S: K h 1 1 h 2 1 h 3 1 h 4 1 h 5 1 h 6 1 (valenciaállapot) 1 A HO-ok hullámfüggvényei: ψ h1 = ψ h2 = ψ h3 = ψ h4 = 1 1 1 ψs + ψ pz + ψ dz2 6 2 3 1 6 1 6

1 ψs − ψs + 1 2 1 2 1 ψ pz + ψ px + ψs − ψ px + 6 2 1 1 ψ h5 = ψs + ψ py + 6 2 1 1 ψ h6 = ψs − ψ py + 6 2 1 3 1 +z ψ dz2 -z 1 ψ 2 d ( x2 − y2 ) 12 1 1 ψ dz2 + ψ d ( x2 − y2 ) 2 12 1 1 ψ dz2 − ψ d ( x2 − y2 ) 2 12 1 1 ψ dz2 − ψ d ( x2 − y2 ) 2 12 ψ dz2 + +x -x +y -y z ° ° h4 h6 ° h1 • h2 ° y h5° h3 A HO-ok teljesen egyenérté-kűek, csak irányítottságukban különböznek. A vegyérték-szögek: 90o-osak, a szerkezet szabályos oktaéder. ° x Az SF6-dal izoelektronos molekulák: SF6, IF5, XeF4. Általános kémia, 12. előadás SF 6 99 IF 5 XeF 4 ° ° • ° ° ° ° • ° ° ° ° • ° ° ° oktaéder négyzetes piramis ° ° sík négyzet KÜLÖNLEGES KÖTÉSTÍPUSOK • KOORDINATÍV KÖTÉS Az atomok a molekulák létrejöttekor törekednek a koordinatív telítettségre. Ez a 4 és 6 ligandumszámnál (tetraéderes és oktaéderes elrendeződésben) megvalósul. A 2.

periódusban:4, a 3 periódustól:6, az 5-6 periódustól 8 koordinációszám is előfordul. A koordinációszám növekedés azzal jár, hogy a központi atom és a ligandum közötti kötés erőssége csökken, az atommagok közötti távolság nő (alacsony hőmérséklet, stabilitás!) A koordinatív kötés: mánospárral rendelkező ligandum belép a központi atom üres hibridpályájára: DONOR: magánospárt ad, AKCEPTOR: magánospárt elfogad (donor-akceptor kötés). Példák: NH 3 BF 3 (bór-ammin-trifluorid) H 3 N : + BF 3 H 3 N BF 3 3 N: 1s22s22p x 12p y 12p z 1 2 B: K2s 2p x 1 sp hibridizáció  N: 1s h prom. h21 h31 h41 ↓(σ) ↑σ ↑σ ↑σ B H H H 2 1 2 sp 2 hibr .  B: K2s 2p 2p  B: K h h h sp 3hibridizáció 1 x 1 y 1 (szabad BF 3 , koordinatíve telítetlen)  B: K h h h 2 1 1 2 1 3 1 h30 ↑σ ↑σ ↑σ ↑(σ) F F F N 1 1 1 3 1 n -főkvantumszámú héjon maximálisan n2 lehet

a koordinációszám. Térbeli akadályok miatt azonban 12-nél több ligandum nem koordinálódhat a központi atomhoz Általános kémia, 12. előadás 100 Kén-trioxid (SO 3 monomer gáz, (SO 3 ) 3 trimer szilárd) prom.  S:KL3s 3p 3p 3p 3d 3d S:KL3s 3p 3p 3p  2 x 2 y 1 z 1 sp 2 hibr . 1  S:KL h h 1 O πd σ O σ S πd sp 3hibridizáció 1 πp  S:KL h h y 1 z 1 z2 1 x2-y 2 1  h 3 1 3pz1 3d z2 1 3d x2-y 2 1 ↑σ ↑σ ↑σ ↑π p ↑π d ↑π d (SO 3 monomer) O O O (O O O) 2 1 R(S = O) = 140 pm, < (OSO) = 120o Kötésrend: 2 A S-atom koordinatíve telítetlen, kondenzált fázisban trimerizálódik h 3 1 h 4 0 3pz1 3d z2 1 3d x2-y 2 1 ↑σ ↑σ ↑σ ↑(σ) ↑π p ↑π d ↑π d (SO 3 trimer) O 1t O 2t O 1h O 2h O 1t O 2t (gyűrű) 1 1 1 sp 3hibridizáció O σ x 2 1 Ot Ot Oh Ot S S Ot O S h Ot Oh Ot O O O S O S O O 3π O S Kötésrend: (S-O) t = 2 O (S-O) h =

1,5 Kötéshossz: (S-O) t = 140 pm (S-O) h = 160 pm O Az SO 3 esetén lehet donor (egy másik SO 3 helyett) a H 2 O molekula is = H 2 SO 4 . Általános kémia, 12. előadás 101 H-HÍD KÖTÉS Nagy elektronegativitású atomok mellett a H-elektronja annyira torzul, hogy létrejöhet egy ún. üres „sp-hibrid” állapot, amely alkalmas magánospár koordinálására H: 1s1 sp hibridizáció  H: h h 0 1 1 σ 2 ← H (σ) 180o-os ← vegyértékszög Példák: hidrogénfluorid (H 2 F 2 , H 4 F 4 , H 6 F 6 gyűrűs) F H 180o F H H o 134 F H F A 134o-os vegyértékszög a F megmaradó két magánospárjá-nak torzító hatása. További példák: (H 2 O) n , szerepe élő szervezetekben, (NH 3 ) n . HÁROMCENTRUMOS KÖTÉS Néhány atom (Be, B, Al, Ga) a koordinációszám növelését magánospár nélkül is meg tudja valósítani, ha ligandumjainak negatív parciális töltésfeleslege van. Ilyen ligandum a H az említett atomok mellett

(El.neg: H=2,1, B=2,0 stb) Példa: B 2 H 6 (diborán) B: K2s2 2p x 1 prom. sp 2 hibr .  B: K2s 2p 2p  B: K h h h 1 x 1 y 1 1 1 2 1 3 1 (szabad BH 3 , nem létezik) 3 sp hibridizáció  B: K h h21 ↑σ ↑σ Ht Ht 1 1 Ht Ht ↓σ ↓σ B: K h 1 1 h 2 1 Ht Ht h31 Hh 1s1 h40 (σh 3 11s1h 3 0)2 Hh 1s1 (σh 4 11s1h 4 0)2 h30 h41 Hh B B Hh Ht Ht Általános kémia, 12. előadás További példák: (BeH 2 ) n (AlH 3 ) n 102 [Be(CH 3 ) 2 ] n [Al(CH 3 ) 3 ] n HAJLÍTOTT KÖTÉS Néhány molekulában (P 4 , etilén-oxid, ciklo-propán, ciklo-bután, trimetilén-oxid stb.) a vegyértékszögek kisebbek a várt 180-90o, ill a 180-109,5o értékeknél Példák: P 4 (fehér-foszfor), tetraéderes, a <(PPP) =60o. A MO-ban az AO-ok átfedése nem egy egyenes mentén történik, hanem hajlított pálya mentén. Az átfedés ezért kicsi, a kötés gyenge, a vegyület erősen reakcióképes P P P P NEM LOKALIZÁLHATÓ

MOLEKULAORBITÁLOK A molekulák jelentős részének szerkezeti felépítése az alkotó atomok elektronhéjszerkezete és a koordinációszám ismeretében lokalizálható MO-ra bontva jól leírható. A LÉNYEG: a MO két részre bontható MO lezárt héjak elektronjai, a vegyértékhéj nem kötő párjai egy atommag környezetében vannak két (kivételesen három) atommaghoz tartoznak a kötő- és a lazító párok Bifunkciós ligandumok esetében, vagy ahol a vegyérték elektronok egy része π pályára kerül, nem rendelhetők a kötő és a lazító pályák lokalizált orbitálokhoz. Az MOelmélet eredményei nem szemléletesek A VB-elmélet (Valence Bond Theory) a delokalizációt rezonancia határszerkezetekkel írja le. Pl SO 2 (kén-dioxid) S: KL3s2 3p x 13p y 13p z 2 sp 2 d hibr .  S: K h h h 3p 1 2 2 1 3 1 z 2 Általános kémia, 12. előadás 2 1 1 O: K2s 2p x 2p y 2p z 2 sp 2 d hibr .  S: K h h h 3p 1 2 2 1 3 1 A

Lewis-féle jelöléssel az SO 2 szerkezete: . S :O : . O: . ← z 103 2 . S :O . :O : . A kísérleti adatok szerint nincs kétféle S-O kötés (R(S-O)= 143 pm), a kötésrendnek tehát AZONOSnak kell lenni. A VB-módszer szerint a valóság a MEZOMER határszerkezetek HIBRIDIZÁCIÓJA, REZONANCIÁJA. DELOKALIZÁLT π-MOLEKULAORBITÁLOK Példák a π kötések delokalizációjára: (SO 3 ) 3 , C 2 H 4 és az 1,3-butadién: A C-C-C-C lánc az x,y síkban orientált. A p z AO-on maradó párosítatlan elektronok π kötéseket alkotnak, amelyek a molekula hosszában (L) delokalizálódnak a π kötések (a C-C kötések hossza ugyanis azonos). H 2 C = CH - CH = CH 2 Feltételezve, az L-hosszúságú „dobozt” (egy-dimenziós), ahol V = áll., a ψfüggvény: 2 π ψn = sin n x L L ahol az n = a „líneáris” kvantumszám. A lehetséges energia sajátértékek száma 4, amennyi a centrumok száma: D • • • • C • • • • AO (2p) π MO-ok • • •

• B • • • • A ψ- függvény ψ 2 Policentrikus (n) erőtérben az AO-ok energiája n-szintre hasad fel (1/2 n kötő és 1/2 n lazító szintre). Lásd még a fémes kötést További példák: C 6 H 6 (benzol): a C-atom sp2 hibrid állapotban Általános kémia, 12. előadás 104 Többatomos ionok: BO 3 3-, CO 3 2-, NO 3 SiO 4 4-, PO 4 3-, SO 4 2-, ClO 4 -. DELOKALIZÁLT MAGÁNOSPÁROK Pl. NF 3 , N(CH 3 ) 3 ill. N(SiH 3 ) 3 háromszögű piramis sík háromszög A triszilil-amin molekulában a N magánospárja delokalizálódik a Si atom üres d pályájára, a N-Si kötésrend formálisan 1,33. A N hibridállapota formálisan sp2 prom. N: K2s22p x 12p y 12p z 1  N: K2s12p x 12p y 12p z 2 sp2hibr .   N: K h 1 1 h 2 1 h 3 1 2p z 2 ↑σ ↑σ ↑σ ↓1/3π Si Si Si 3Si Pl. Si 2 O 7 6-, P 2 O 7 4-, S 2 O 7 2- izoelektronos kétmagvú ionok O O M O O M O O O A hídhelyzetű O sp3 hibrid állapotú, a két M maghoz

tartozik. Az < M-O-M vegyértékszögek eltérnek a várt 109,5o-os érték-től a O két magánospárjának delokalizációja miatt: ion < M-O-M, fok lp delok. Mértéke (%) S 2 O 7 2120 50 P 2 O 7 4-, 134 Si 2 O 7 6 150 ≈75 Általános kémia, 12. előadás 105 LCAO-MO MÓDSZER • Molekulaorbitál elmélet. A molekula elektronhéja di- és policentrikus A Schrödinger egyenlet megoldása közelítő módszerrel a variációs elv alkalmazásával:  ψ = Eψ H szorozzuk meg ψ-vel mindkét oldalon  ψ = Eψ 2 ψH ∫ dτ szerint integráljuk ∫ ψ H ψ dτ = E ∫ ψ dτ 2 a teljes mechanikai energia:  ψ dτ ψH ∫ E = ∫ ψ dτ 2 A ψ-függvényt nem ismerjük. Az AO-k alapján ψ 1 ,ψ 2 ,,ψ i függ-vényeket ε1 , ε2 ,., εi energiákat számítunk A rend-szer alapállapotának valódi energiája E a . A variációs elv szerint ε1 〈ε2 esetben a tételezünk fel, amelyekkel ψ 1 közelebb van a ψ a -hoz, mint a ψ 2 . Általában az a

ψ i közelíti meg legjobban a ψ a -t, ahol εi a legkisebb, és ez az E a legjobb közelítése Az MO-k ψ-függvényeinek közelítésére az AO-k líneáris kombinációját használják. A variációs paraméterek a kombináció c1 , c2 ,, ci együtthatói A módszer ezért LCAO-MO (Linear Combination of Atomic Orbitals to Molecular Orbital) • A kétatomos molekula példája AO: MO: E= ψ 1 és ψ 2 ψ = c1ψ 1 + c2ψ 2 ∫ (c1ψ 1 + c2ψ 2 )H (c1ψ 1 + c2ψ 2 )dτ ∫ (c ψ + c ψ ) dτ 1 1 2 2 2 Elvégezve a kijelölt műveleteket és figyelembe véve az elektron megkülönböztethetetlensége miatti azonosságot: az ε energia sajátérték: ψ = ψ H ψ ψ1H 2 2 1 Általános kémia, 12. előadás ε= 106 c12 ∫ ψ 1 H ψ 1dτ + 2c1 c2 ∫ ψ 1 H ψ 2 dτ + c22 ∫ ψ 2 H ψ 2 dτ c12 ∫ ψ 12 dτ + 2c1 c2 ∫ ψ 1ψ 2 dτ + c22 ∫ ψ 22 dτ a nevezőben a normáltság miatt ∫ ψ dτ = 1, 2 1 és ∫ ψ dτ = 1 2 2 ezért a

számlálóban ∫ ψ H ψ dτ = E 1 1 és 1 ∫ ψ H ψ dτ = E 2 2 2 az eredeti AO-ok energiái. A nevezőben az ∫ ψ ψ dτ = S 1 2 az átfedési integrál, azaz az a térrész, ahol a ψ 1 és ψ 2 orbilálok átfedik egymást. Az S TÉRJELLEGŰ fogalom A számlálóban ∫ ψ H ψ dτ = β 1 2 a kicserélődési integrál, ami - ellentétben az S-el ENERGIA JELLEGŰ mennyiség. Tehát: c12 E1 + 2c1 c2 β + c22 E 2 ε= c12 + 2c1 c2 S + c22 Keressük a c 1 és c 2 azon értékeit, melyek mellett az ε mini- mális (variációs számítás) - szélsőérték keresés ∂ε / ∂c1 = 0 és ∂ε / ∂c 2 = 0 . A változatlan számlálót és nevezőt jelöljük Sz ill N szimbólummal. ∂ε ( 2c1 E1 + 2c2 β ) N − Sz( 2c1 + 2c2 S) = =0 ∂c1 N2 ( 2c1 β + 2c2 E 2 ) N − Sz( 2c1 S + 2c2 ) ∂ε = =0 ∂c2 N2 Szorozzuk meg N-nevezővel az egyenleteket és végezzük el a tagonkénti osztást: Sz ( 2c1 + 2c2 S ) = 0 N Sz ( 2c1 β + 2c2 E 2 ) − ( 2c1S

+ 2c2 ) = 0 N ( 2c1 E1 + 2c2 β ) − Az Sz/N = ε tört itt már az energia szélsőértéke (minimuma), jelölhetjük E-vel, majd 2-vel egyszerűsítve és c 1 és c 2 -re rendezve: Általános kémia, 12. előadás 107 c1 ( E1 − E ) + c2 ( β − ES) = 0 c1 ( β − ES) + c2 ( E 2 − E ) = 0 E homogén líneáris egyenletrendszer nem triviális (c 1 ≠ 0 és c 2 ≠ 0) megoldása akkor van, ha a rendszer determinánsa (a SZEKULÁRIS DETERMINÁNS) eltűnik, 0-vá válik: det ( E1 − E ) (β − ES) (β − ES) =0 ( E2 − E ) A determináns egyenlet kifejtésével kapott szekuláris egyen-let (vagy a karakterisztikus polinom) másodrendű: ( E 1 − E )( E 2 − E ) − ( β − ES) 2 = 0 Megoldásként az E-re parabólát kapunk: f(E) E g - kötő állapot E u - lazító állapot Eg E1 E2 Eu E A függvény analízise azt mutatja, hogy a MO-nak két energiamegoldása van: E g < E 1 és E u > E 2 ha E g = E 1 = E A , homonukleáris kétatomos a molekula ( E

A − E ) 2 = (β − ES) 2 ( E A − E ) = ± ( β − ES) E (1 ± S) = E A ± β E ±β E= A 1± S E −β E +β , Eu = A Eg = A 1+ S 1− S Általános kémia, 12. előadás 108 Az E g és E u -hoz tartozó ψ -függvényeket a c 1 /c 2 arány ismeretében állapíthatjuk meg: a c1 β − ES =− egyenletbe az E g és E u behelyettesítésével: c2 EA − E E = E g esetében: EA + β S c1 1 + S =  =1 ( )g = − EA + β c2 EA − 1+ S β− Tehát E = E u esetében: EA − β β − S c1 1 − S = ( )u = − EA − β c2 EA − 1− S Eg : Eu : = −1 c1 = c2 c1 = - c2 E = Eg E = Eu A két ψ -függvény:  és ψ = c(ψ 1 + ψ 2 ) ψ = c(ψ 1 − ψ 2 ) A c-paraméter értéke a normálási feltételből: ∫ ψ g dτ = 1 2 cg2 ∫ (ψ 1 + ψ 2 ) 2 dτ = cg2 ( ∫ (ψ 1 ) 2 dτ + 2 ∫ ψ 1 ψ 2 dτ + Az integrálok ismeretében: + ∫ (ψ 2 ) 2 dτ ) = 1 cg2 (1 + 2 S + 1) = 1, cg = 1 , cu = 2 + 2S 1 , 2 − 2S A homonukleáris kétatomos molekulák

elektronhéjában a lehetséges energiaértékek és ψ -függvények: EA + β Eg = 1+ S , Eu = EA − β 1− S , 1 (ψ 1 + ψ 2 ) 2 + 2S 1 ψ = (ψ 1 + ψ 2 ) u és 2 − 2S és ψ g = Általános kémia, 12. előadás 109 ψ g - kötő állapot, ψ u - lazító állapot. Az E g annál kisebb (annál erősebb), minél nagyobb a β kicserélődési és az S átfedési integrál. • A MO-ban lévő elektronok állapotát (az AO-on lévőkéhez hasonlóan) kvantumszámok adják meg: AO • kötő MO • • 1s 1s • • • • • • • • p π d δ • f ϕ • σ* 2p x • π 2p z s σ • σ* 1s σ 2p x 2p z 2p z AO: MO: • σ 1s 2p x 2p x • lazító MO • π* 2p z . . Energia szint-skála: σ1s < σ*1s < σ2s < σ2s < σ2p x < π2p y < π2p y < σ2p x π2p z π*2p z degenerált MO-ok <. A MO energiája akkor a legkisebb (a kötési energia a legnagyobb), ha a kombinálódó AO-ok a) lehetőleg azonos

energiájúak (lehetséges azonos energiák tétele), b) a legnagyobb mértékben átfedik egymást (max. átfedés kritériuma) c) a MO-ok kialakításában a vegyértékelektronok vesznek részt, a lezárt atomtörzsek NEM. Példák: Li: 1s2 2s1 Li: K 2s1 az atom elektronkonfigurációja Li 2 : KK (σ 2s)2 a molekula elektronkonfigurációja. MO-ok pályadiagramja (az első két periódus) Általános kémia, 12. előadás E AO 110 MO AO σ*2p x π*2p y π2p z 2p x 2p y 2p z 2p z 2p y 2p x π2p y π2p z σ2p x 2s 1s σ*2s σ2s σ*1s σ1s 2s 1s • HOMONUKLEÁRIS KÉTATOMOS MOLEKULÁK • A molekula elektronkonfigurációja (hasonló az atomihoz) megadható. • „Anomáliák” az energiasorrendben: Pl. Li 2 - N 2 ig: π2p y < σ2p x π2p z az O 2 -től helyre áll a „rend”. További példák: • H 2 : (σ1s)2 He 2 : (σ1s)2(σ*1s)2 Li 2 : KK(σ2s)2 Be 2 : KK(σ2s)2(σ*2s)2 B 2 : KK(σ2s)2(σ*2s)2(π2p y )1(π2p z )1 C 2 : KK(σ2s)2(σ*2s)2(π2p y

)2(π2p z )2 Általános kémia, 12. előadás 111 N 2 : KK(σ2s)2(σ*2s)2(π2p y )2(π2p z )2(σ2p x )2 O 2 : KK(σ2s)2(σ*2s)2(σ2p x )2(π2p y )2(π2p z )2 (π2p y )1(π2p z )1 F 2 : KK(σ2s)2(σ*2s)2(σ2p x )2(π2p y )2(π2p z )2(π2p y )2(π2p z )2 Ne 2 : KK(σ2s)2(σ*2s)2(σ2p x )2(π2p y )2(π2p z )2(π2p y )2(π2p z )2 (σ2p x )2 • A He 2 , Be 2 és Ne 2 esetében a kötő és lazító elektronok száma megegyezik, molekula nem jön létre. • A Li, B és a C kivételével az elemek kétatomos molekulák. Az említettek magas hőfokon szintén alkotnak kétatomos molekulákat. • A Hund-szabály (max. multiplicitás) bizonyítékai: a B 2 és az O 2 molekulák paramágnesesek a páratlan spínű elektronok jelenléte miatt. • „Anomáliák” az energiasorrendben bizonyítéka: a B 2 molekula paramágneses. • A lazító MO-ok kísérleti bizonyítékai: Molekula O2 O2+ N2 N2+ Dissz.energia kJ mol-1 494 623 942 841 Kötésrend 2 2,5 3 2,5 Az ionizáció az O 2

esetében lazító, az N 2 esetében kötő elektront távolít el. Az első esetben a kötés erősödik (2 - 2,5), a másik esetben gyengül (3 - 2,5). Ez tükröződik a disszociációs energiák változásában. • Kötésrend: a σ és π kötő elektronpárok összegéből levonva a σ* és π lazító elektronpárok összegét. Másképpen: KR = ∑ kötő σ és π elektronok − ∑ lazító σ és π elektronok 2 • A Lewis-féle kötéselmélet: az atomokat ellentétes spínű elektronpár köti össze. Az elektronpár a két atomtól szár-mazik. Pl N2 O2 ↑↓ N ↑↓ ↑↓ ↑↓ N ↑↓ ↑↓ O ↑↓ ↑↓ O ↑↓ A kötöelektronokat az atomok közösen használják a nemesgázhéj konfiguráció kialakításában. Ez a kötéselmélet nem értelmezi a párosítatlan elektront (paramágnesesség, O 2 + + N 2 ionok energiája) • HETERONUKLEÁRIS KÉTATOMOS MOLEKULÁK Példák a homonukleáris kétatomos molekulákhoz hasonlóan: Általános kémia, 12.

előadás 112 CN: KK(σ2s)2(σ*2s)2(π2p y )2(π2p z )2(σ2p x )1 kötésrend: 2π + 1/2σ = 2,5 paramágneses CO: KK(σ2s)2(σ*2s)2(π2p y )2(π2p z )2(σ2p x )2 kötésrend: 2π + σ = 3 NO: KK(σ2s)2(σ*2s)2(σ2p x )2(π2p y )2(π2p z )2( π2p y )1 kötésrend 3/2π + σ = 2,5 paramágneses * A disszociációs energia összhangban van a kötésrenddel. A LiH példája: Li: K2s1 Li LiH H: 1s 1 2p (σ*1s2s) 2s 1 E H 2s,2p 1s1 (σ1s2s)2 1s2 Aszimmetrikus az energiafelhasadás, a (σ1s2s) MO energiája sokkal közelebb van a H-atom (1s) AO-jához, mint a Li-atom (2s) AO-jához. LiH: K (σ1s2s)2 ψ = c1ψ 1 + c2ψ 2 c1 ≠ c2 A MO elektronpárjának tartózkodási valószínűsége nagyobb a H-, mint a Liatom környezetében: a σ-kötés poláris, a töltéseloszlás is aszimmetrikus. -δ +δ H Li Gyenge eleketrosztatikus tér hatására: Li+ + H- ionokra esik szét. • HF: K(σ2s2p x )2(σ1s2s2p x )2(π2p y )2(π2p z )2 mivel a H-atom 1s AO-ja csak egy σ-MO

kialakításában vesz részt, a HFban egy σ-kötés van. A másik 3 MO egyedül a F-atom AO-jaiból kombinálódik, ezek nem-kötő MO-ok, a létező lazító MO-ra nem jut elektron • Elektronok, elektronpárok a MO-on: Általános kémia, 12. előadás 113 1. lezárt atomhéjak változatlan AO-jain 2. nem-kötő állapotban, kombinálódott, vagy változat-lan AO-kon 3. kötő állapotban (MO) 4. lazító állapotban (MO) a kötő és a lazító elektronpárok számának különbsége a kötésrend. A HF poláris σ-kötés 5. az elektronegativitás pl legyen ψ 1s ( H ) = ψ 1 , ψ 2 s+ 2 px ( F ) = ψ 2 akkor c2 ψ ) = c(ψ 1 + λψ 2 ) c1 2 λ = c2 / c1 ψ = c1ψ 1 + c2ψ 2 = c1 (ψ 1 + ha c = c1 és A λ-nak kimutathatóan két értéke, +λ és -λ, lehet. Ennek megfelelően a kötő és lazító állapotok: ψ g = c(ψ 1 + λψ 2 ) és ψ u = c(ψ 1 − λψ 2 ) A MO az AO-ok nem egyenlő részarányú kombinációja