Gazdasági Ismeretek | Menedzsment » Menedzsment tételek, 2003

A doksi online olvasásához kérlek jelentkezz be!

Menedzsment tételek, 2003

A doksi online olvasásához kérlek jelentkezz be!


 2003 · 16 oldal  (267 KB)    magyar    1175    2004. július 16.  
       
Értékelések

Nincs még értékelés. Legyél Te az első!

Tartalmi kivonat

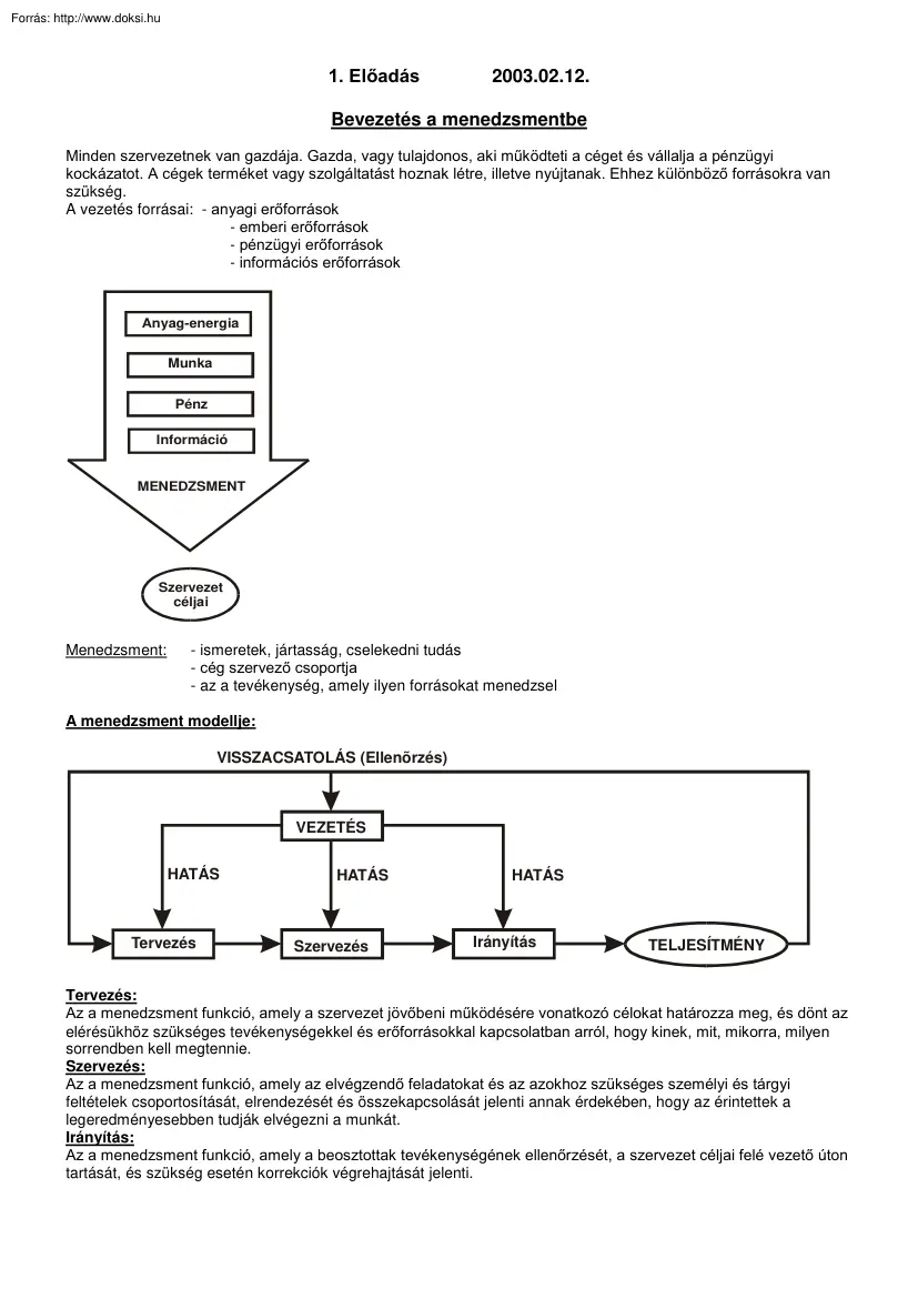
1. Előadás 2003.0212 Bevezetés a menedzsmentbe Minden szervezetnek van gazdája. Gazda, vagy tulajdonos, aki működteti a céget és vállalja a pénzügyi kockázatot. A cégek terméket vagy szolgáltatást hoznak létre, illetve nyújtanak Ehhez különböző forrásokra van szükség. A vezetés forrásai: - anyagi erőforrások - emberi erőforrások - pénzügyi erőforrások - információs erőforrások Anyag-energia Munka Pénz Információ MENEDZSMENT Szervezet céljai Menedzsment: - ismeretek, jártasság, cselekedni tudás - cég szervező csoportja - az a tevékenység, amely ilyen forrásokat menedzsel A menedzsment modellje: VISSZACSATOLÁS (Ellenõrzés) VEZETÉS HATÁS Tervezés HATÁS Szervezés HATÁS Irányítás TELJESÍTMÉNY Tervezés: Az a menedzsment funkció, amely a szervezet jövőbeni működésére vonatkozó célokat határozza meg, és dönt az elérésükhöz szükséges tevékenységekkel és erőforrásokkal kapcsolatban arról,

hogy kinek, mit, mikorra, milyen sorrendben kell megtennie. Szervezés: Az a menedzsment funkció, amely az elvégzendő feladatokat és az azokhoz szükséges személyi és tárgyi feltételek csoportosítását, elrendezését és összekapcsolását jelenti annak érdekében, hogy az érintettek a legeredményesebben tudják elvégezni a munkát. Irányítás: Az a menedzsment funkció, amely a beosztottak tevékenységének ellenőrzését, a szervezet céljai felé vezető úton tartását, és szükség esetén korrekciók végrehajtását jelenti. Vezetés: Az a menedzsment funkció, amely a szervezet tagjai viselkedésének tudatos befolyásolását jelenti annak érdekében, hogy azok a meghatározott célok eléréséért tevékenykedjenek. Ily módon a vezetés közvetlenül a szervezetben lévő emberekre összpontosít, azok motivációjának kialakításán és fenntartásán keresztül. Menedzser: - kinevezik, vagy megbízzák menedzselési feladattal - beosztottjai

vannak - utasítási jogköre van (a főnökének engedelmeskedik) - más erőforrásokkal is rendelkezik - sikerét a cég üzleti tevékenységének eredményességével mérik - irányító posztot tölt be Vezető: - személyes befolyással bír - „követői” vannak - a követőkkel érzelmi összhang, érdekközösség - formálisan nem rögzített szerep - együttgondolkodó, közös értékeket valló, együttműködő közösséget teremt - nevelő, tanácsadó, szószóló, ítéletalkotó szerepeket lát el 2. Előadás 2003.0219 Időgazdálkodás Menedzserbetegség. Pszichés oka: stressz A sok munka miatt van, rosszul osztják be az idejüket - 20-25 évvel ezelőtt találták ki az USA-ban Munkaidő: ami alatt az erőforrásainkat megszerezzük Szabadidő: ami alatt ezen erőforrásokat feléljük Abból kell kiindulni, hogy az ember életének célja az, hogy kellemes élményeket éljen meg. Ez a szabadidő De a munkaidő által tudjuk biztosítani a

feltételeket. Nem szabad összekeverni a kettőt A munkaidővel kell gazdálkodni. Az idő fontosabb jellemzői: - értékes tőke (kevés van belőle, mert abszolút szűkös) - nem vásárolható meg - nem takarítható meg, nem raktározható - nem szaporítható (visszafordíthatatlanul és folyamatosan múlik) Eredményesség: nyereséget produkálunk Hatékonyság: költségcsökkentés Az időgazdálkodás egy tervezési tevékenység. Kérdéseket teszünk fel magunknak, és ezt megpróbáljuk megválaszolni. Tisztában kell lenni a céljainkkal 1. kérdés: Mi a feladat? 2. kérdés: Mennyi idő kell a feladat elvégzéséhez? 3. kérdés: Mikor végezzem a feladatot? 1., Portfolió analízis (SWOT) fontosság Fontos Nem fontos határidő 1. Fontos Nem sürgős 3. Nem fontos Nem sürgős 2. Fontos Sürgős 4. Nem fontos Sürgős sürgősség Nem sürgős Sürgős - a feladatokat még akkor kell megcsinálni, amikor az 1. mezőben vannak, mert a második mezőben

levőkre nem tudunk annyi időt fordítani, amennyi a minőségi munkavégzéshez szükséges. Ezeket általában „összecsapjuk” - nem delegálható feladatok (nekem kell megcsinálni) - delegálható feladatok (ezeket át kell adni másnak, ha nincs rá időm) - rutin feladatok - 4. mező: álfeladatok (nem valósak, ezért sürgőssé tesszük) - 3. mező: - önmegoldó feladat (angol irodalom): valakinek fontos, és az megcsinálja - jópofa feladatok (német irodalom): szeretünk másoknál jó pontot szerezni 2.,: - a becslésen kívül nincs más eszköz - a becsült idő legyen a 60% - 20%: szubjektív időtartalék (csak rajtam múlik) - 20%: objektív időtartalék (időrablás) (tőlem független okok) - a tartalékidőt fel lehet használni másra - az idő előrefelé halad - Pareto elv: a feladat első 20%-ának elvégzéséhez a rendelkezésre álló idő 80%-a szükséges 3.,: - fontos feladatokat akkor végezzek, amikor a legjobb formában vagyok - 1-1,5

óránként tartsunk szünetet Technikák: - az adott nap megtervezése - megnézni, hogy az előző napon mit, miért nem végeztem el 3. Előadás 2003.0226 Vezetési hierarchia a I. II. III. 0 b c 8 Cél meghatározása tulajdonos III. II. Cél megvalósítása I. a., végrehajtás önállósága (III): - a feladatot a rendelkezésre álló erőforrásokkal kell megoldani - a feladat egyértelműen meg van határozva b., gazdálkodás önállósága (II): - F=Á+Kpr - Ő dönti el, honnan szerzi be az erőforrásokat - a technológia határokat szab c., vállalkozás önállósága (I): - a tulajdonos dönt a lét, nem lét kérdéséről - a technológia nem jelent akadályt Döntési mátrix: F e l a d a t o k Vezetõk A B C D E F X 1 2 X 3 4 5 X n Döntési folyamat: Döntési folyamat P T V D Input F Vezetési folyamatrsz. Anyagi folyamatrsz. U E Végrehajtás Output Egy személy lehet: döntéshozó, előkészítő, vezető, jóváhagyó. Tudni

kell, hogy melyik vezető miért felel. A döntési folyamat eredménye a vezetői döntés. T: tájékozódás, információgyűjtés: - idő, hely, mennyiség, rendezettség - külső forrásból jöhet információ - a vállalaton belülről (anyagi, vezetési folyamat rendszerből, döntési folyamatból) - ne legyen túl „öreg” az információ, de a döntés előtt kapjuk meg - megfelelő hely: döntéshozó személy - mennyiség - a nem döntés is döntés - rendezettség a másik fél tudja használni, értelmezni az információt - nem az információ mennyisége, hanem a minősége a döntő P: problémamegoldás v. probléma megfogalmazás: (megoldandó feladat = probléma) - kérdéseket tudjon feltenni - megmutatja, hogy mi a teendő V: variánsok kidolgozása: - minden probléma többféleképpen oldható meg (műszaki probléma: kevesebb lehetőség a technikai korlátok miatt; gazdasági probléma: nagyon sok megoldás) - kevés variáns esetén tudományos

döntéshozatal (optimálás) - nagyon sok variáns esetén feltételeket kielégítő megoldás (kitételek, feltételek meghatározása a döntés előtt (minőség, ár)) mindig a lehető legtöbb variáció megtalálására kell törekedni. D: döntés: - variációk közötti választás - bizonyossági feltételek között hozott döntés (tudjuk, hogy mi lesz a következmény) - kockázati feltételek között hozott döntés (a bekövetkezési valószínűséget tudjuk meghatározni) - bizonytalansági feltételek között hozott döntés (nem tudjuk, mi lesz a következmény) F: feltételek biztosítása: - a feltételek biztosítottságát figyelembe kell venni a variánsok kidolgozásakor U: utasítás: - fontos a rendezettség, amely az utasítást adó felelőssége - fontos, hogy értse az aki kapja - pontos utasításokat kell adni E: ellenőrzés: - az ellenőrzéstől azt várjuk, hogy minősítsen (jó v. rossz) - az ellenőrzésben is van hiba - az eltérés

megtalálása - meg kell találni az eltérés okát - javaslatot kell tenni az eltérés kiküszöbölésére - a beavatkozó személy kiválasztása - újbóli ellenőrzés elvégzése Gyors döntés: - a vezetői döntés biztonsága attól függ, hogy végig megy-e ezen a folyamaton - a döntés lehet gyors, ha gyorsan végig tud menni ezen a folyamaton, illetve ha kihagy lépéseket 4. Előadás 2003.0305 Változásmenedzsment - a külső környezet mindenképpen változik, és ez rákényszeríti a vezetőt a változtatásra - alapvetően pozitív hatásai vannak Okai: - találmányok, felfedezések - új lehetőségek feltárása (találmányok alkalmazása) - tapasztalat, gyakorlat (kisebb mértékű változások) Környezeti tényezők csoportosítása: 1., Műszaki tényezők: - termék vagy szolgáltatás - technika - technológia (jelenleg ez a leginkább elmaradott terület) - ha a piacot is hozzávesszük, akkor innovációról beszélünk 2., Társadalmi

tényezők: (Nagy hatással van a szervezetre, mivel társadalmi környezetben tevékenykedik, amit nem lehet kiküszöbölni.) - politika - környezetvédelem - logisztika (termék gazdaságos szállíthatósága) - a lakosság élethelyzetének stabilitása 3., Gazdasági tényezők: (ezek hatnak a legerősebben a szervezetre) - piac (a fejlett piacokon minőségi verseny van) - tulajdonosok (Á-Kpr=F; F-Kfix=N) - alkalmazottak (munkakörülmények) - pénzintézetek (forgóhitel, hosszú távú beruházási hitel) - „a tőke oda szeret menni ahol a legjobban forgatják” a nagyvállalatoknak saját bankja van a vállalat helyzete meghatározza, hogy milyen változtatásokat kell végrehajtani Portfolió analízis (SWOT) Környezeti tényezõk Lehetõség ? Kérdõjeles SZTÁR Itt még van remény Fenyegetés Hideg disznó (angol) Fejõstehén Itt már nincs Gyengeségek Erõsségek Belsõ tényezõk A helyzet meghatározza, hogy milyen stratégiát lehet használni.

A stratégiára építi a vállalat a hosszú távú terveit Stratégiai célok  taktikai célok  operatív célok A változtatásra való készséget pozitív tulajdonságnak kell felfogni. Miért félnek a változtatástól? Alapvetően azért, mert az előző változtatás pozitív hatásai nem voltak hosszú életűek az emlékezetükben. Levin: 1., Felkészülés a változtatásra Változás Hajtóerõk Ellenerõk Átállítás a hajtóerőkhöz. Emberekkel kell foglalkozni: - oktatás (a hangadókat kell bevonni) - bevonás (megpróbáljuk bevonni a változtatásba, megmutatjuk, mit fog majd csinálni) - támogatás - meggyőzés - manipuláció (akit nem akarok hosszú távon magam mellett tartani) - kényszerítés 2., Változtatás Lehet gyorsan, vagy lassan, ez attól függ, milyen a helyzetünk a szervezetben és, hogy milyen erősek vagyunk (erős  lassan; gyenge  gyorsan) 3., Stabilizálás (angol: befagyasztás) Ha gyors a változás, akkor a

stabilizálás nehezebb. Ha lassú, akkor van idő a befagyasztásra Fontos, hogy aki változtat és ezáltal jó helyzetbe kerül, az később is változtasson, ne üljön a babérjain. Szervezeti működés, szervezeti formák 1.) Munkamegosztás (a tevékenység feldarabolása, a részek különböző helyre telepítése) - funkció  - tárgy  szerint - régió  Egy dimenziós, ha egy elv szerint épül fel. Több dimenziós, ha több elv szerint épül fel. felelősség (F) hatáskör (H) feladat (P) (penzum) - egymásra épülnek - egységet alkotnak - egyensúlyban kell lenniük hatáskör: intézkedési jogosultság Egyvonalas a cég, ha minden alsóbb szintű egységnek egy közvetlen főnöke van. Többvonalas a cég, ha az alsóbb szintű egységeknek több közvetlen fönöke van. koordináció: összerendezés konfiguráció: szervezeti felépítés sémája, vázlata Egyvonalas szervezet tipikus formája: - Szakmai és általános vezetők is egyben.

Egyszerű, könnyen áttekinthető alá- fölé rendelt viszonyok könnyen kiderülnek korlátlanul bővíthető fölösleges ágak kiszűrhetők nem rugalmas új feladatok esetén felsővezetés terheltsége nagy horizontális kapcsolatok bizonytalanok Törzsegységi szervezet: Törzs A törzs tanácsadó szervezeti egység, egyéb jogköre nincs. Többvonalas szervezet: vállalat vezetés fejlesztés törzs termelésirányítás kereskedelem beszerezés termelő egység - tervezés, pénzügy értékesítés termelő egység termelő egység a szakértelem beépült a szervezeti struktúrába a munkafolyamat szabályozott a termelékenység nő a szervezet növekedésével - fölöslegek képződnek - lomhán reagál a változásokra A divízionális szervezeti forma: vállalat vezetés központi személyzeti központi K+F központi beszerzés ’A’ termék csop. divízió - nagy vállalatok multinacionális cégek nagy rekeszelő hatás költség divízó

fix ktg. keret törzs központi pénzügy Hosszú távú tervezés ’B’ termék csop. divízió fejlesztés termelés szolg. egység ’C’ termék csop. divízió értékesítés profit center divízió dinamikus keret, de legyen profit investment centerdivízió a profit ott marad Termékorientált mátrix: vállalat vezetés fejlesztés ig. termelés ig. vállalati ig. kereskedelem ig. ’A’ termék csop. ’B’ termék csop. ’C’ termék csop. Beépített konfliktusok – konfliktus kezelés alkalmazottak Projekt mátrix – szervezet vállalat vezetés fejlesztés ig. termelés ig. kereskedelem ig. vállalati ig. ’A’ projekt vez. ’B’ projekt vez. ’C’ projekt vez. 3D mátrix szem.- termék mátrix munkamegosztás alapján 1 dimentiós többdimenziós szervezetek egy vonalas hatáskörök alapján több vonalas lineáris divízionális, lineáris funkcionális, funkcionális mátrix - termékigazgatói – projekt tenzor igazg.

termelés műszaki min. bizt személy Adminiszt. 6. Előadás 20030319 Kommunikáció a szervezetben (menedzseri szempontból) - Napjainkban az ember meghatározójává válik a kommunikáció a gondolkodás előtt. - Az erkölcs minden cselekvés velejárója lehet. - A kommunikáció mindenütt jelen van. - Kommunikáció: információátvitel két ember közt azzal a céllal, hogy cselekvést váltson ki. Információ  másik személy  cselekvés A kommunikáció funkciói a szervezetben Klasszikus funkciók  szervezetben 1., Érzelmi  az emberek lehetnek elégedettek, dühösek 2., Motivációs  teljesítmény értékelése 3., Információs 4., Irányítási ellenőrzési  jó felé megyünk-e, korrekció Mai funkciók: - információk összegyűjtése és szétosztása - a motiváció és a meggyőzés erősítése - a megértés elősegítése - a döntéshozatal támogatása Szervezeten belüli kommunikációs csatornák rendszere Formális: lefelé,

felfelé irányuló, horizontális Informális Formális: a cég hozta létre őket Lefelé irányuló: Egy szervezeten belül ez a legfontosabb csatorna. A parancs jellemzői: egyirányú; nincs kölcsönhatás; nem ad lehetőséget a kérdezésre; döntés után adják ki - célok megismertetése - munkavégzési utasítások és magyarázatok - eljárások, szabályzatok közlése - visszajelzés a teljesítményről - nevelő szándékú üzenetek Felfelé irányuló: - problémák közlése - javaslatok a fejlesztéshez - beszámolók - sérelmek, viták közlése Horizontális: - problémamegoldás - koordináció - tanácsadás, szakmai felügyelet Informális: - a rossz biztos tudása jobb, mint a bizonytalanság - a jó hírek gyorsan terjednek - fontos csatorna, mert sok információt tartalmaz - hírek, információk kiszivárogtatása 7. Előadás 20030326 Jog és erkölcs Jog Csak a jog által szabályozott terület Erkölcs Mind a jog, mind az erkölcs által

szabályozott terület Csak az erkölcs által szabályozott terület A megfogalmazás többnyire negatív formában A megfogalmazás pozitív és negatív formában Be nem tartás esetén: szankcionálás Be nem tartás esetén: elmarasztalás Tudományosan racionális, ami igaz. Gazdaságban racionális, ami sok profitot hoz. Technikában racionális, ami a legjobb teljesítményt nyújtja (megelőzi versenytársait). Erkölcsileg racionális, ami az adott közösségnek jó. A piac nincs meg a társadalmi szabályozás nélkül, és a társadalom sincs meg a piac nélkül. Vevõ Alkalmazottak Profit Környezet (társadalmi is) A vállalat felelőssége - jogi: pl.: termékfelelősség (a termék nem veszélyes) - morális: pl.: minden amit a társadalom igényel, arra választ adunk (nem csinálunk olyat, amin megbotránkoznak, vagy ami árt) Etikai megítélés - figyelembe kell venni a cselekedet objektív körülményeit (lehetetlent követelni felesleges) - figyelembe

kell venni az illető szubjektív körülményeit (szándék) - fontos a cselekvésmód - fontos a cselekvés eredménye Praktikus szempontok menedzsereknek - az erkölcsi értékelés legyen a szakmai értékelés része - az értékelés pozitív és negatív egyformán legyen (vegyük észre a jót) - az értékelés legyen tárgyilagos - hiba esetén azonnal figyelmeztetni kell - fokozatos elmarasztalás - a menedzser szubjektív érzékeit ki kell kapcsolni - négyszemközt vagy nyilvánosan történjen az értékelés? (dicsérni nyilvánosan) Régebben: a vállalatnak a tulajdonosnak kell megfelelnie Ma: Steak holder elmélet: a vállalatnak minden érintettre tekintettel kell lennie Menedzserek Fogyasztók Szállítók Hitelezõk TULAJDONOS Vállalat Természeti és épített környezet Alkalmazottak Szakszervezetek Állam Helyi közösség Etikai térkép Kapcsolat a fogyasztókkal: - termékfelelősség - reklám - garanciavállalás (jótállás), szavatosság - nincs

megvesztegetés Kapcsolat a tulajdonossal, befektetőkkel Kapcsolat az alkalmazottakkal: - emberi méltóság - nincs diszkrimináció - személyiségi jogok - bérezés, juttatások Kapcsolat a szállítókkal Kapcsolat a helyi közösséggel (szolgálja azt) Kapcsolat a politikával Etikai magatartás - korrupció: hosszú távú hatásai vannak - adózás, adómorál: - mikulás (mindig pontosan fizet) - tévedő (nem ismeri a jogszabályt) - trükkös (jog, jogtalan határán) - csalók 8. Előadás 20030402 Menedzseri motiváció Fontos a menedzserek motiváló képessége, amellyel a dolgozókat tudják serkenteni a munkára. Motivációs lehetőségek: - fenyegetés - dicséret - unszolás - a feladat fontosságának hangsúlyozása - kötelességtudat hangsúlyozása - munkalehetőség javítása - prémium, szolgáltatások Negatív motiváció: valamitől való félelem, fenyegetettség; nem hozható ki a maximum Pozitív motiváció: ösztönzés, így a dolgozókból

kihozható a maximum A modern menedzseri motiváció pozitív motiváció. Minőséget nem lehet kényszermunkával előállítani Pszichológiai: tudatalatti, vagy tudatos hajtóerő, amely előidézi és irányítja azt a cselekvést, amely egy kitűzött cél érdekében történik. Menedzseri: ha hajlandóak vagyunk a szervezeti célok iránti erőfeszítésre, amellyel egyben egyéni szükségleteinket is kielégíthetjük. Motiváció folyamata Szükségletek  késztetés  motiváció Teljesítmény=f(képesség*motiváció) Maslow szükséglet hierarchia modellje Önmegvalósítás Megbecsülés Magasabb rendû szükségletek Társas igény Biztonsági szükségletek Fiziológiai szükségletek Alacsonyabb rendû szükségletek Herzberg szerinti ösztönző elemek - siker a munkában - elismerés - feladatok a munkahelyen - felelősség - előlépés Szükségesek: - adminisztráció és vállalatpolitika - munkairányítás - fizetés (bér) - emberi kapcsolatok -

munkakörnyezet McClelland féle elmélet: Siker vagy teljesítmény-motívum (achievement need): a siker elérésére, a teljesítmény fokozására vonatkozó késztetés (ellentéte a kudarckerülés) Hatalom motívum (power need): mások befolyásolásának fontossága Társulási motívum (affiliation need): mások általi elfogadás, együttműködés igényéből fakad 9. Előadás 20030409 Munkahelyi csapatok menedzselése A munkacsapat olyan csoport, amelynek tagjait a kitűzött célnak megfelelően válogatták össze és képezték ki, amelynek tagjai függnek egymás munkába fektetett erőfeszítéseitől és hajlandók együtt dolgozni. A feladatmegosztás szempontjai: A feladat elvégzéséhez szükséges KÉPESSÉG A feladat elvégzéséhez kapcsolódó HAJLANDÓSÁG ALACSONY MAGAS ALACSONY - nem szabad rábízni - kudarc lenne - tudja, de nem akarja - csökkenti a csoport teljesítményét MAGAS - akarja, de nem tudja - kudarc lenne - ideális - a jó

teljesítmény nagyon valószínû A munka-szerepek mellett társas szerepekre is igényt tart a munkahely. Szociális szerepek: - mindenes - józan reformer - kritikus - jópofa - közösségi - pszichológus - döntőbíró - hírszerző - fegyelmező - értékelő Figyelni kell arra, hogy ne legyenek szerepkonfliktusok. Vannak negatív hatású szerepek is: - pletykás - maximalista - cinikus - fekete bárány Csoportnormák: Az ember önszabályozó, de ellentmondó is tud lenni. Szabályozzák a csoporton belül a teljesítményt, befogadást, minőséghez való hozzáállást, beszédstílust, megjelenést. Teljesítmény A munkahelyi csapatok működése: Megalakulás Forrongás Normalizálódás Mûködés Idõ Forrongás: a managernek konfliktusokat kell kezelnie. Normalizálódás: a managernek dicsérnie, bátorítania kell